OPÓŹNIONE SCHORZENIA SPOWODOWANE BOJOWYMI ŚRODKAMI TRUJĄCYMI


MONOGRAFIA SIPRI
Stockholm International Peace Research Institute

Wprowadzenie
Schorzenia opóźnione
Klasyczne bojowe środki trujące
Trucizny dla układu oddechowego
Trucizny arsenoorganiczne
Środki parzące typu iperytu
inne trucizny wojskowe
Środki psychotropowe
Herbicydy
Fosforoorganiczne bojowe środki trujące
Objawy ostrego zatrucia związkami fosforoorganicznymi
Mechanizm biochemiczny zatrucia związkami fosforoorganicznymi
Aspekty medyczne opóźnionych schorzeń wywoływanych związkami fosforoorganicznymi
Schorzenia psychopatologiczne i neurologiczne
Schorzenia wątroby i układu krwiotwórczego
Choroby nowotworowe, mutageneza i teratogeneza
Schorzenia okulistyczne
Podsumowanie i Konkluzje
Literatura



Wprowadzenie

Ostre zatrucia spowodowane kontaktem z bojowymi środkami trującymi są dobrze poznane. Niewiele natomiast wiadomo o różnorodnych i szerokich opóźnionych efektach działania tego rodzaju czynników chemicznych. To opracowanie przedstawia obecny stan wiedzy o długoterminowym wpływie chemikaliów o znaczeniu wojskowym na człowieka, w oparciu o dostępne publikacje dotyczące doświadczeń klinicznych zebranych podczas I i II wojny światowej oraz w czasie wojny w Wietnamie. Publikację przygotował prof. dr Karlheinz Lohs, Dyrektor Instytutu Toksykologii Chemicznej Akademii Nauk NRD podczas pracy w SIPRI w 1974 roku.

Bardzo nieliczna jest grupa specjalistów, którzy mają świadomość jak różne i powszechne są schorzenia opóźnione spowodowane przez bojowe środki trujące (CW, ang. Chemical Weapons) i inne chemikalia użytkowane w wojsku. Eksperci wojskowi i przedstawiciele przemysłu wytwarzającego te trucizny nie są zainteresowani rozpowszechnianiem rezultatów badań nad schorzeniami opóźnionymi. Tym niemniej pewne fakty przeniknęły do opinii publicznej, zwłaszcza po zastosowaniu CW przez armię ameryańską w Wietnamie.
Nasze opracowanie ma spełnić kilka zadań:
1. Upowszechnić aktualny stan wiedzy o schorzeniach opóźnionych wywoływanych przez trucizny o znaczeniu wojskowym.
2. Omówić doświadczenia kliniczne zebrane do chwili obecnej w związku z wytwarzaniem, składowaniem i użytkowaniem CW, szczególnie w oparciu o dane z okresu obu wojen światowych i wojny w Wietnamie.
3. Zaproponować pewne sposoby rzetelnego informowania opinii publicznej o zagrożeniach schorzeniami opóźnionymi spowodowanymi truciznami bojowymi. Również promować obecne działania na rzecz zakazu użytkowania broni chemicznej jako wkład w dzieło powszechnego rozbrojenia.
4. Zainspirować badania w zakresie biochemii i toksykologii dla rozwiązania problemów schorzeń chronicznych w ogóle, a w szczególności poznania mechanizmu działania CW.
W rozumieniu naszego opracowania termin schorzenie opóźnione jest to schorzenie, w zasadzie nieodwracalne, związane z ostrym lub lekkim zatruciem CW, obserwowane zwykle jako pozostające, trwałe uszkodzenia zdrowia lub nieoczekiwane wystąpienie skojarzonych objawów po okresie miesiący lub lat. Zauważyć tu trzeba, że schorzenia tego rodzaju nie odpowiadają obrazowi uszkodzeń zdrowia w wyniku chronicznego zatrucia. Chroniczne zatrucie wynika z przewlekłego - ciągłego lub z przerwami - narażenia na małe ilości trucizn. Opóźnione schorzenie jest wynikiem przyjęcia jednej dawki lub krótkiej ekspozycji na truciznę, a pojawienie się jego symptomów po miesiącach lub latach nie wymaga dalszego kontaktu z tym czynnikiem chemicznym.
W naszych rozważaniach skoncentrujemy się na obecnie istniejących fosforoorganicznych CW, jak również na różnych środkach drażniących i parzących, które należą do grupy iperytu. Przykład tych chemikaliów ma posłużyć do sformułowania ogólnych wniosków na temat problemu opóźnionych schorzeń spowodowanych kontaktem z wszystkimi chemikaliami o znaczeniu wojskowym. Omawiane czynniki nie będące CW należą jednak do grupy związków o charakterze podobnym do CW zarówno pod względem chemicznym jak i toksykologicznym. W wielu przypadkach chemikalia te opisuje się w literaturze jako "modelowe" dla CW, gdyż nie można rzetelnie publikować danych o CW ze względu na utajnienie danych.

Schorzenia opóźnione - podsumowanie historyczne

Historia chemikaliów grupy CW o znaczeniu militarnym zawarta jest w obszernym opracowaniu SIPRI The Problem of Chemical and Biological Warfare [1]. Nie trzeba więc po raz kolejny omawiać odkrycia, produkcji i stosowania CW i innych chemikaliów wojskowych. Powinniśmy jednak zapoznać się z wieloma aspektami związanymi z efektami działania tych trucizn na człowieka, które w cytowanym opracowaniu omawiane są w ogólnym zarysie. Dane tego rodzaju nieczęsto są spotykane w literaturze związanej z CW, gdyż ich treść niewiele ma wspólnego z aspektami medycznymi. Efekty działania broni chemicznej na ogół są traktowane w kategoriach jej bezpośrednio obserwowanej skuteczności, więc dotyczą wyłącznie zatruć ostrych. Pozwala to skoncentrować opinię publiczną na bezpośrednich zagrożeniach ze strony broni chemicznej z pominięciem jej oddziaływania w późniejszym czasie po zatruciu nieostrym.

Bezpośrednio po I wojnie światowej w literaturze medycznej opublikowano wiele szczegółowych danych o ofiarach zatrucia CW, które w rezultacie opieki lekarskiej zostały wyleczone. Ofiary te zostały więc zaliczone do rannych wyleczonych z objawów ostrego zatrucia. Publikacje nie spotkały się jednak z wielkim zainteresowaniem, gdyż przyjęto, że przypadki tego rodzaju są czymś wyjątkowym. W związku z tym nie prowadzono w tamtych czasach szerokich badań naukowych i medycznych związanych z tymi przypadkami. Stało się to powodem zagubienia zależności przyczynowo-skutkowych między ekspozycją na CW i kolejnymi objawami chorobowymi. Kilka ważnych publikacji o sprawach tego rodzaju pojawiło się wprawdzie po I wojnie światowej, lecz miały one głównie charakter prac przyczynkarskich. Wzrost znaczenia medycyny pracy w okresie lat 20-tych i 30-tych, obserwowany w szybko rozwijających się uprzemysłowionych krajach, przyczynił się do rozpoznania problemów chorób zawodowych, w tym również opóźnionych schorzeń w wyniku ostrych i lżejszych zatruć. Coraz większą uwagę zwracano również na problem chronicznych zatruć. Nie wiadomo jednak, kiedy wyniki tych badań zaczęły być używane w medycynie wojskowej. Taki stan rzeczy zachował się też po II wojnie światowej.

W wyniku spektakularnych sukcesów na polu broni nuklearnej bezpośrednio po zakończeniu II wojny światowej, sprawy związane z bronią chemiczną zeszły na plan dalszy. Spowodowało to mylne przeświadczenie opinii publicznej o wycofaniu broni chemicznej z arsenałów. Tylko garstka specjalistów miała świadomość jak kolosalne ilości broni chemicznej starego i nowego typu zostały wyprodukowane przed i w czasie II wojny światowej. Oraz że zapasy te zostały zmagazynowane i są gotowe do użytku.

Kiedy podczas procesu przeciw zbrodniarzom hitlerowskim w Norymberdze ujawniono po raz pierwszy szczegóły dotyczące broni chemicznej (o sposobie i możliwościach jej użycia, o postępach badań i zakresie produkcji oraz o ilościach zmagazynowanych zapasów), uwaga opinii publicznej skupiła się na ekstremalnej toksyczności nowych rodzajów uzbrojenia. Kolejne informacje o nowych typach CW, przenikające do społeczeństw w latach następnych, również dotyczyły własności toksycznych związanych głównie z ostrymi zatruciami (szczególnie związkami fosforoorganicznymi, takimi jak DFP, tabun, sarin i soman). Jest to zrozumiałe, gdyż trucizny te stanowiły nową pod względem biochemicznym i toksykologicznym klasę związków. Niezależnie od ich znaczenia wojskowego, przyczyniły się do zapoczątkowania odkryć dotyczących transmisji sygnałów między komórkami nerwowymi.

We wczesnych latach 50. utrzymywano, że broń chemiczna z tych zapasów jest przestarzała z punktu widzenia wojskowego. Jednak pod koniec lat 50-tych zaistniały powody dla zmiany poglądów, rzucające nowe światło na problemy opóźnionych schorzeń powodowanych przez broń chemiczną.
I. Pierwszym było przywrócenie produkcji CW po zakończeniu II wojny światowej oraz rozwój prac nad produkcją związków fosforoorganicznych, takich jak tabun, sarin i soman. Intensyfikacja produkcji CW wiązała się z rozwojem badań naukowych. To z kolei przyczyniło się do najwyższego stopnia utajnienia, co spowodowało zakończenie okresu względnie swobodnych publikacji badań nad CW z wczesnych lat 50-tych. Utajnienie aktywności naukowej stworzyło wrażenie jej całkowitego zaniechania.
II. Drugim powodem było zainteresowanie opóźnionymi schorzeniami z powodu procesów o odszkodowania. Problem powstał kiedy wielu ludzi, wcześniejszych pracowników produkcyjnych w fabrykach broni chemicznej i magazynach Wehrmachtu, żyjących wówczas w NRF, złożyło wnioski do sądu o odszkodowania z tytułu utraty zdrowia.
III. Trzecim powodem weryfikacji praktycznej i naukowej problemu opóźnionych schorzeń był nadzwyczajny rozwój produkcji pestycydów w wielu krajach uprzemysłowionych i ogólnoświatowe użytkowanie tych czynników trujących. Ponieważ szereg pestycydów jest bardzo podobnych do CW pod względem struktury chemicznej i działania biologicznego (patrz tablica 5.1.), porównania między symptomami pojawiającymi się w rezultacie cywilnych i wojskowych zastosowań tych substancji są w pełni uprawnione. Kolejne rozdziały opracowania zawierają wnioski z tego porównania.

Prawie 10 lat temu wojskowi próbowali wprowadzić jednoznaczne rozróżnienie między badaniami cywilnymi i wojskowymi związków biologicznie czynnych. Jednak w końcowym okresie wojny w Wietnamie rozróżnienie to stało się praktycznie nie do utrzymania. Trucizny wcześniej stosowane wyłącznie do celów cywilnych okazały się wówczas niezwykle przydatne do celów wojskowych. Wpływ tych trucizn na człowieka i jego środowisko okazał się praktycznie niemożliwy do oszacowania. Sytuacja ta zaskoczyła wojskowych, którzy podejmując decyzję użycia tych substancji nie spodziewali się takiego rezultatu. Nieprzewidywalność schorzeń powodowanych przez te chemikalia oraz niemożność prawidłowej ich oceny stały się szczególną przyczyną postawienia żądań zakazu stosowania CW.

W międzyczasie wyniki badań naukowych pobudziły światowe zainteresowanie opóźnionym oddziaływaniem substancji chemicznych. We wszystkich grupach społecznych budzi się świadomość faktu, iż niedbałe obchodzenie się z chemikaliami spowodowało zagrożenie środowiska naturalnego. W nadchodzących dekadach może to doprowadzić do ogólnego kryzysu ekologicznego i wywrzeć poważny wpływ na dalszą egzystencję rodzaju ludzkiego - możliwe, że największy w historii.

Broń chemiczna i inne chemikalia o znaczeniu wojskowym nie tylko mogą doprowadzić do samounicestwienia człowieka w trybie natychmiastowym (jako trucizny bojowe), ale też, co ważniejsze, poprzez ich opóźnione oddziaływanie na zdrowie ludzkie i na środowisko. Nie powinniśmy spokojnie trwać w przeświadczeniu, że wojskowi nie zrobią użytku z broni chemicznej, gdyż trzymają ją tylko "na wszelki wypadek". Jest prawdopodobne, że wypadki w fabrykach CW, awarie techniczne w trakcie testów polowych i innych prób już miały poważne konsekwencje. Raport o incydencie w Skull Valley, Utah, gdzie przypadkowe wypuszczenie gazu VX na poligonie Dugway Proving Grounds of the US Army spowodowało śmierć 6000 owiec - powinien nawet ignorantowi uprzytomnić możliwość zaistnienia kolejnej pomyłki przy próbach.

Od czasu I wojny światowej zdarzyło się wiele wypadków podczas prób CW na poligonach oraz w czasie produkcji trucizn dla wojska i im podobnych substancji. Ograniczona wielkość strat powstałych w czasie tych wypadków wynika - niezależnie od szczęścia - głównie z niewielkiej toksyczności badanych substancji w stosunku do tych, które badane są obecnie. Skóra cierpnie na myśl, że gdyby wypadek z fosgenem z 1928 roku w Hamburgu mógłby przytrafić się teraz z udziałem VX lub innym współczesnym rodzajem CW. A dopóki nie osiągniemy pełnego zakazu CW, bez wątpienia będą powstawać środki niebezpieczniejsze nawet od współczesnych supertrucizn.

Nawet cywilne badania toksykologiczne mogą przyczynić się do ujawnienia nowej klasy substancji o bezprecedensowej toksyczności. Trzeba też pamiętać, że oprócz zagrożenia ostrym zatruciem takimi chemikaliami istnieje też problem opóźnionych schorzeń. Dlatego w wielu krajach prowadzi się badania w celu wyjaśnienia opóźnionego wpływu trucizn cywilnych i wojskowych na zdrowie. kolejnych rozdziałach.W omawiamy rozwój tych badań.

Schorzenia opóźnione powodowane przez "klasyczne" bojowe środki trujące

W międzywojennej literaturze z zakresu medycyny wojskowej znajdziemy szerokie omówienie sposobu działania ważniejszych bojowych środków trujących. Dane kliniczne i eksperymentalne są zebrane w wielu monografiach - przykładem mogą być Gilchrist, Gillert, Flury i Zernik; oraz Muntsch [4-7]. Nie ma w nich jednak konkretnych informacji o schorzeniach opóźnionych, a ponadto wiele z danych opublikowanych w tym czasie zawiera sprzeczne informacje. Warto tu zauważyć, że w literaturze niemieckiej jest szczególnie niewiele na temat opóźnionych schorzeń związanych z zatruciem CW, a niektórzy autorzy wręcz wykluczają istnienie możliwości ich wystąpienia. Anglo-amerykańska i szczególnie francuska literatura tematu zawiera znacznie więcej informacji o tych schorzeniach. Nasz przegląd, dotyczący CW najważniejszych podczas I wojny światowej, ograniczymy do publikacji odnoszących się do schorzeń opóźnionych i wyników badań prezentowanych w aktualnej literaturze wojskowej.

Schorzenia opóźnione spowodowane truciznami układu oddechowego

Opis ogólny

Fosgen i inne gazy trujące stosowane w czasie I wojny światowej są typem CW powodujących efekt natychmiastowy - tzn. ostre zatrucie. Ekspozycja organizmu ludzkiego na duże dawki tych duszących gazów powoduje śmierć. W aktualnej literaturze wojskowej panuje zgoda, że fosgen, dwufosgen, trójfosgen i chloropikryna nie mają już żadnego znaczenia jako CW. Tym niemniej wielka toksyczność fosgenu, jego szkodliwość i łatwość pozyskania we wszystkich krajach posiadających przemysł chemiczny powodują, że trudno wykluczyć jego użycie w lokalnych konfliktach w Trzecim Świecie. Niemal wszystkie monografie o chemii wojskowej nadal zawierają omówienie fosgenu. Podobnie raport WHO z 1970r. Health Aspects of Chemical and Biological Weapons również omawia fosgen [8]. Oprócz tego, że może on być potencjalnie używany jako broń chemiczna, fosgen powstaje jako produkt rozkładu w wielu procesach przemysłowych. Przykładem mogą być produkty pirolizy wielu plastików i materiałów syntetycznych.

Specyficzne objawy toksykologiczne

Spośród gazów bojowych używanych w czasie I wojny światowej tylko fosgen obok iperytu doczekał się szerokiego opisu z punktu widzenia medycyny. Kliniczny obraz zatrucia fosgenem każe zaklasyfikować go jako typowy gaz duszący. Fosgen po przyjęciu dawki natychmiast działa na płuca, a wszystkie pozostałe symptomy uszkodzenia innych organów są efektem wtórnym uszkodzenia płuc. Henschler prawidłowo wskazuje, że obrzęk płuc, charakteryzujący się wprawdzie specyficznym obrazem patologicznym, jest w istocie zespołem o złożonej etiologii [9]. Chociaż książka ta traktuje głównie o opóźnionych schorzeniach, jednak powinniśmy zamieścić opis ostrego zatrucia fosgenem z monografii Muntsch'a - eksperta wojskowego w zakresie zatruć CW [7] :

"... sinica i duszności osiągają ekstremum, a jęczące ofiary z trudem usiłują zaczerpnąć tchu. Pacjenci przedstawiają pożałowania godny obraz nieszczęścia. Zdają topić się w płynie wydobywającym się z ich płuc... Od czasu...I Wojny Światowej słyszy się wiele wypowiedzi o humanitaryzmie gazów bojowych: każdy kto raz widział ofiary zatrucia gazem w opisanym wyżej stadium obrzęku płuc - jeśli posiada choć iskrę człowieczeństwa- zachowa milczenie..."



Powyższy opis ostrego stadium obrzęku płuc można również zastosować do tych, którzy przeżyli zatrucie fosgenem, lecz latami muszą cierpieć w wyniku astmy oskrzelowej i są skazani na śmierć z powodu rozedmy płuc.

Obecnie przyjęto powszechnie - chociaż nie ma na to dowodów biochemicznych - że gazy duszące powodują raczej ogólne zatrucie organizmu niż "chemiczną korozję" płuc. Wprawdzie pierwotne efekty działania fosgenu i podobnych trucizn występują na powierzchni dróg oddechowych, nie można pominąć faktu, że niedotlenienie i nagromadzenie dwutlenku węgla w tkankach są istotne w mechanizmie powstawania obrzęku płuc i późniejszych objawów [9-10]. Ponadto na podstawie wyników badań w USA stwierdzono, że podatność na krwotoki płuc uszkodzonych fosgenem jest wynikiem reaktywności fosgenu wobec trombokinazy występującej w dużych ilościach w płucach [R. W. Gerard, cytowany w 10]. Z powodu dezaktywacji lub zniszczenia trombokinazy inne życiowe procesy metaboliczne w tkance płuc są również zablokowane, co staje się powodem rozwoju schorzeń opóźnionych. Przegląd literatury wskazuje, że wprawdzie przeprowadzono dość dużo eksperymentalnych (w tym anatomopatologicznych) badań zatruć płucnych, jednak te sprawozdania kliniczne, jako nadmiernie kazuistyczne, nie mogą być podstawą uogólnień. Szczególną uwagę należy zwrócić na publikację Galdstona i wsp. na temat problemów psychopatologicznych i neurologicznych [11]. Stwierdzili, że u trzech na sześć osób poszkodowanych wskutek ostrego zatrucia fosgenem pojawiają się symptomy psychopatologiczne, prowadzące do objawów neurastenii, depresji i hipochondrii. (W opinii autorów osoby opóźnione umysłowo lepiej znoszą utratę zdrowia związaną z zatruciem gazami.) Powinniśmy też odnieść się do artykułu Veila i Sturma, którzy zaobserwowali powstanie wrzodów trawiennych u ofiar zatrucia fosgenem [12]. Kehoe opublikował ogólne studium dotyczące gazów duszących, w którym omawia również schorzenia opóźnione [13]. Achard w wyczerpującym studium [cytowanym w 2] o opóźnionych schorzeniach wywołanych gazami duszącymi (opartym o ponad 3500 przypadków, chociaż nie wskazuje na poszczególne gazy jako źródło chorób) ocenia opóźnione uszkodzenia płuc jako najważniejsze z klinicznego punktu widzenia. Jako efekty drugorzędne lub mniej istotne wymienia choroby centralnego układu nerwowego, uszkodzenia systemu sercowo-naczyniowego, zaburzenia żołądkowo-jelitowe, uszkodzenia oczu i skóry i choroby laryngologiczne.

Minkowski przedstawia podobne obserwacje w związku z gazami duszącymi, takimi jak chlor i fosgen [14]. Jednakże jego (i niektórych współczesnych mu autorów) zastrzeżenia co do istnienia zależności między efektem toksycznym i wychwytem związków toksycznych z krwi nie ostały się wobec znanych obecnie faktów. Ważne obserwacje Rickera prowadzą do przypisania działaniu fosgenu, dwufosgenu i chloropikryny powstawania anatomicznych zmian istoty białej w mózgu (wynaczynienia krwi) [15]. Jest to istotne spostrzeżenie, ponieważ pozwala wytłumaczyć powstawanie zaburzeń psychicznych. Gdyby nie to, klinicznie obserwowalne objawy (stan splątania, osłupienie, zaburzenia mowy, utrata pamięci, mania, halucynacje i delirium), towarzyszące ledwie zauważalnym zmianom strukturalnym w mózgu, mogą być przypisywane skutkom szoku psychicznego powstającego u ofiary ataku gazowego a nie wiązane z efektem zatrucia. Petri, a później Pentschev i Rotchlin, którzy zbierali dane z czasów I wojny światowej o anatomopatologicznych efektach zatruć CW, udostępnili wyczerpujące raporty [16-20]. Według tych danych, uszkodzenia centralnego układu nerwowego są trudno rozróżnialne anatomicznie, zwłaszcza w zatruciu fosgenem. Autorzy przypisują uszkodzenia błony wewnętrznej układu naczyniowego silnemu efektowi toksycznemu "trucizny wchłoniętej poprzez układ krążenia" lub traktują go, bardziej ogólnie, jako skutek niedotlenienia krwi.

Flury i Zernik - ówcześni czołowi eksperci - również rozważali problem opóźnionych schorzeń u osób poszkodowanych wskutek stosowania gazów bojowych w czasie I wojny światowej. Zwrócili szczególną uwagę na nieprzemijające uszkodzenia układu oddechowego spowodowane gazami duszącymi, a wśród nich fosgenem [6]. Trafnie wskazują na związek ekspozycji na CW z nadzwyczajnym obniżeniem odporności i sprawności u ofiar. Z tego powodu uważają za ekstremalnie trudne rozróżnienie między chorobami somatycznymi i zaburzeniami funkcjonalnymi i psychicznymi.

Bez wchodzenia w dyskusje medyczno-biochemiczne o bezpośrednim czy pośrednim trującym wpływie fosgenu i innych gazów duszących, należy zauważyć, że czołowi międzynarodowi eksperci uważają za bezdyskusyjnie stwierdzoną zdolność tego typu czynników do powodowania opóźnionych schorzeń układu oddechowego (szczególnie astmy oskrzelowej i rozedmy płuc),objawów neuropatologicznych, uszkodzeń układu sercowo-naczyniowego, oraz w indywidualnych przypadkach uszkodzeń żołądka, jelit, skóry i oczu. Nie można też pominąć faktu, że typowe dla uratowanych z zatruć fosgenem jest obniżenie odporności na infekcje. Wynika to z poważnego uszkodzenia urzęsionego nabłonka wyściełającego drogi oddechowe. Nawet astma i reakcje alergiczne mogą być przypisane utracie nabłonka urzęsionego - i zastąpieniu go przez obce tkanki nabłonkowe - co powoduje zaburzenia procesu samooczyszczania układu oddechowego i jego zdolności obrony przed infekcją.

Schorzenia opóźnione spowodowane truciznami arsenoorganicznymi

W literaturze wojskowej arsenoorganiczne gazy bojowe dzieli się na dwie grupy:
* drażniące (wywołujące kichanie lub wymioty) podrażniające głównie nos i gardło
* parzące (wywołujące pęcherze) atakujące każdą część ciała (a szczególnie części wilgotne), z którą środki w postaci cieczy lub gazu wchodzą w kontakt.

Związki arsenoorganiczne są uważane za najważniejsze spośród obecnych wojskowych gazów drażniących.

Głównymi reprezentantami tej grupy są gazy bojowe:
Clark I (dwufenylochloroarsyna),
Clark II (dwufenylocyjanoarsyna) i
Adamsyt (dwufenyloaminochloroarsyna).

Jednak zarówno wymienione drażniące gazy arsenoorganiczne jak i arsenoorganiczne czynniki parzące - tj. Lewizyt (chlorowinylodwuchloroarsyna) i fenylo-, metylo-, i etylo- chloroarsyny - są obecnie uważane za przestarzałe z wojskowego punktu widzenia. Jest mało prawdopodobne, aby mogły odegrać jakąś rolę jako gazy bojowe. Nie można jednak wyeliminować zaistnienia zagrożeń dla pracowników składów, gdzie nadal są one zmagazynowane. Również miejsca, gdzie zostały one zakopane lub zatopione jako depozyty po II wojnie światowej, mogą zostać odkryte, co sprowadzi zagrożenie dla zdrowia, nie mniejsze niż obecne zagrożenie ekologiczne związane z zatruciem środowiska arsenem [22] Nawet w następnych dziesięcioleciach związki arsenowe mogą stanowić zagrożenie dla zdrowia ze względu na ich wielką stabilność w glebie i wodzie.[23,24].

Specyficzne objawy toksykologiczne

Większość związków arsenoorganicznych posiada duże znaczenie praktyczne poza wojskową sferą zainteresowań (ważne militarnie związki arsenu były w istocie "produktami ubocznymi" badań cywilnych). Z tego powodu znanych jest wiele publikacji o ostrych i chronicznych schorzeniach przez nie powodowanych. Publikacje o toksykologii bojowych czynników arsenoorganicznych opierają się głównie na wynikach cywilnych programów badawczych [6,17,25].

Odmiennie niż w przypadku wielu innych rodzajów związków biologicznie czynnych, tu szkodliwość jest niezbicie udowodniona biochemicznie - arsen w dowolnej postaci jest trujący dla organizmu człowieka. W 1946 roku (na podstawie badań prowadzonych podczas wojny) Dixon i Needham opublikowali wyczerpujący przegląd wpływu CW arsenoorganicznych na reakcje enzymatyczne - podstawy biochemiczne występowania opóźnionych schorzeń [26]. Ogólnie przyjęta jest opinia, że przyczyną toksyczności związków arsenowych jest ich zdolność do przyłączania do grup tiolowych, które są elementem centrów aktywnych licznych i różnorodnych enzymów [27,28]. Badania nad mechanizmem biochemicznym działania związków arsenowych rozwinęły się po II wojnie światowej. Wiemy już, że wśród enzymów podatnych na inhibicję przez związki arsenu są dehydrogenaza pirogronianowa, karboksylaza, dehydrogenaza ?-ketoglutaranowa, dehydrogenaza jabłczanowa oraz ATPaza. Zakłócenia w rozkładzie kwasu pirogronowego również są istotnie powiązane z klinicznym obrazem zatrucia arsenem [29]. Dlatego stało się oczywistym, że klasyfikacja arsenoorganicznych CW jako zwykłych "środków drażniących" jest oparta na fałszywych przesłankach. Pominięcie ich działania zaburzającego w wielu punktach normalną aktywność metaboliczną enzymów jest ryzykownym uproszczeniem rzeczywistego zakresu toksyczności. Już w 1930 roku Flury i Zernik wskazali na fakt, że niezależnie od działania jako środek drażniący, CW arsenoorganiczne mają zdolność do uszkodzenia tkanki nerwowej [6]. Trzeba też zauważyć, że związki arsenu wykazują działanie rakotwórcze [30] i własności mutagenne [31a - 31d].

Wiemy więc o rozmaitych szkodliwych oddziaływaniach arsenu na organizm ludzki. Związki zawierające arsen na trzecim stopniu utlenienia są najbardziej trujące, a do nich należą wszystkie znane CW arsenoorganiczne. Dlatego możemy uznać za udowodniony związek tych trucizn z opóźnionymi objawami psychopatologicznymi i neurologicznymi, żołądkowo-jelitowymi, efektami toksyczności dla wątroby, nerek i układu krwi. Użycie przez US Army czynników arsenoorganicznych w czasie wojny w Wietnamie czyni tym pilniejszym osiągnięcie bezwarunkowego zakazu produkcji, magazynowania i używania broni chemicznej.

Schorzenia opóźnione spowodowane środkami parzącymi typu iperytu

Iperyt, tj. siarczek bis(2-chloroetylowy) (mustard gas, sulphur mustard, yperite) uważany był za "Króla Gazów Bojowych". Niezależnie od możliwości stosowania silnie trujących gazów fosforoorganicznych, żadna ocena zagrożenia ze strony gazów bojowych nie powinna pomijać tego czynnika. Wprawdzie iperyt i inne podobnie działające czynniki parzące zostały wyłączone z arsenałów amerykańskich i innych krajów, jednak nie powinniśmy ignorować możliwości, że te wyjątkowo efektywne czynniki mogą zostać wykorzystane w przyszłych lokalnych konflikach w Trzecim Świecie. Wynika to z faktu, że niewiele jest czynników posiadających tak wiele "korzystnych" własności dla użytku wojskowego, co iperyt. Nawet armia wyposażona w nowoczesne środki ochrony przeciwchemicznej, znajdzie się w trudnym położeniu jeśli zostanie zaatakowana iperytem. Dlatego tego typu gazy bojowe powinny być uwzględnione w każdym oszacowaniu możliwości użycia broni chemicznej.

Użycie iperytu w czasie I wojny światowej i kontynuacja jego produkcji do połowy lat 50-tych przyczyniły się do opublikowania wielu prac z zakresu medycyny wojskowej. Kwestie opóźnionych schorzeń były w nich poruszane w wielu aspektach [32-37]. Wynika z nich jasno, że - jak już zauważono w czasie I wojny światowej - absorpcja ogólnoukładowa jest istotnym czynnikiem warunkującym obraz kliniczny zatrucia spowodowanego iperytem. Z niewielu wyjątkami, które omówimy później, iperyt może być uważany za prototyp wszystkich militarnie ważnych środków parzących.

Inną kwestią, którą trzeba wziąć pod uwagę, rozważając złożone problemy związane z iperytem, jest sprawa problemów zdrowotnych żołnierzy i pracowników, którzy mieli kontakt z iperytem podczas jego produkcji, magazynowania czy likwidacji. Jeszcze przez wiele lat trzeba będzie zapewnić im opiekę zdrowotną i możliwość ubiegania się o odszkodowania z tytułu utraty zdrowia i zdolności do pracy. W samym tylko RFN 300 - 400 osób było w 1970r. nadal zarejestrowanych jako poszkodowane na zdrowiu w latach 1933 - 45 wskutek ekspozycji na trucizny bojowe (szczególnie iperyt siarkowy i azotowy) i pozostawało pod stałą obserwacją medyczną [38]. Pomimo automatyzacji w zakładach produkcyjnych, nadal tysiące ludzi na całym świecie naraża swoje zdrowie pracując przy wytwarzaniu, magazynowaniu i gromadzeniu CW.

Specyficzne objawy toksykologiczne

Iperyt cechuje się wielką zdolnością do penetracji, rozpuszczalnością w tłuszczach, względnie dużą stabilnością w warunkach wilgotnych i rozległą aktywnością biochemiczną. Z tych powodów szybko przenika do organizmu przez inhalację lub wskutek absorpcji przez skórę, dociera do odległych organów i tam wywołuje swoiste efekty. Oddziałuje na wątrobę, nerki, żołądek i układ jelitowy, a ponadto na centralny system nerwowy i - ogólnie - szlaki metaboliczne. Kontakt skóry zarówno z cieczą, jak i oparami, powoduje powstanie bolesnych rumieni i pęcherzy, które niezwykle powoli ustępują. Mogą stać się źródłem infekcji wtórnych. Iperyt jest zdradziecki w działaniu, gdyż nie powoduje bólu w czasie ekspozycji, a uszkodzenie ciała nie jest zauważalne przez kilka godzin. Obok objawów oparzeń występują też liczne inne symptomy o charakterze ogólnoustrojowym. Prowadzą do złego samopoczucia, apatii i głębokiej depresji. Te objawy są często trudniejsze do pokonania niż same oparzenia. Dotychczasowe osiągnięcia medycyny niewiele mogą pomóc w ich zwalczeniu.

Dane literaturowe o opóźnionych i chronicznych schorzeniach wywołanych zatruciem iperytem nie są jednak tak liczne, jak można by oczekiwać[5, 14, 16, 41, 42]. Przypuszczalnie powodem jest to, że ofiary zatrucia iperytem - jeśli przetrwały ostre objawy - cierpią na skutek jednego z wielu wtórnych objawów, a nawet umierają z ich powodu. W porównaniu z innymi uszkodzeniami i upośledzeniami, największe zainteresowanie wzbudziły schorzenia oczu i ślepota u rannych [43-48]. Po I wojnie światowej podjęto bardziej szczegółowe badania nad schorzeniami chronicznymi i opóźnionymi [18-20, 49].

W okresie przed i podczas II wojny światowej okazji do dużo bardziej systematycznych badań schorzeń chronicznych i opóźnionych dostarczyły przypadki kliniczne pracowników zakładów wytwarzających iperyt i zatrudnionych w magazynach broni [2, 38, 50-52]. W 1958 roku A. Weiss powiedział w tej sprawie:

Wśród już znanych trwałych schorzeń (z powodu zatrucia iperytem) trzeba wymienić:

- pierwotne schorzenia dróg oddechowych - od objawów przypominających astmę do bardzo ciężkiego rozedmowego zapalenia oskrzeli, nawrotowego zapalenia płuc, rozstrzeni oskrzeli, ropni mózgu
- zaburzenia autonomicznej regulacji serca, krążenia i oddechu, które mogą (choć nie muszą) być związane z chroniczną infekcją uszkodznego obszaru.
- ciężkie uszkodzenia oczu, często z towarzyszącym chronicznym zapaleniem spojówek

... Proszę teraz pozwolić mi przedstawić nowe wyniki naszych badań:



1. W rezultacie obniżenia odporności na infekcje nieunikniony rozwój paradontozy o katastroficznym tempie, co prowadzi do utraty zębów.

2. Nikt, kto obserwował postępujący upadek sił fizycznych i przedwczesne starzenie byłych pracowników zakładów wytwarzających iperyt, nie może uważać tych zmian za przypadkowe. Osóby ciężko poszkodowane w zatruciach iperytem często trudno jest wyleczyć z objawów dystrofii (niedożywienia), nawet jeśli zapewnia się właściwą dietę.

3. Częsta jest osteoporoza. Musi być to oczywiście spowodowane zaburzeniami metabolizmu komórkowego - przede wszystkim anabolizmu. Podobnie często występuje przedwczesny zanik potencji i libido.

... Dalsze odkrycia ...ujawniają:

4. Zmiany błony śluzowej zatok nosowych w postaci obrzęków i polipów, przy względnie rzadkim występowaniu ropniaków

5. Częste występowanie achylii (bezsoczności) i niedokwasoty, przy normalnej częstości występowania chorób wrzodowych

6. Zachorowalność na perygastryczny (okołożołądkowy) przerost wątroby, przy względnie rzadkim występowaniu chronicznego uszkodzenia wątroby

wreszcie, choć niemniej ważne -



7. Uszkodzenia centralnego układu nerwowego....

W przypadku opóźnionych schorzeń wywoływanych przez iperyt nie ma różnicy między ostrymi zatruciami i efektem chronicznego oddziaływania trucizny. Wykazano, że tak lekkie jak i ciężkie schorzenia opóźnione występują w obu przypadkach. Pozorna dobra odporność na ostre zatrucia lub na chroniczne ale subtoksyczne oddziaływanie nie chroni przed schorzeniami opóźnionymi. Ludzie, co do których ja sam orzekłem, iż są praktycznie odporni na wpływ pracy z iperytem - i którzy nawet zostali skierowani do służby wojskowej pod koniec wojny - zmarli już wskutek schorzeń bardzo odległych w czasie, ale typowych dla działania iperytu. Indywidualna wrażliwość, co wykazano również dla innych trucizn, ma ogromne znaczenie dla zaistnienia opóźnionych schorzeń po zatruciu bronią chemiczną.

W ciągu ostatnich dziesięciu lat zbiera się również dane dotyczące przypadków klinicznego leczenia nowotworów przy pomocy pochodnych iperytu (głównie iperytem azotowym) [54,55]. Wiadomo, że iperyt i jego pochodne są czynnikami silnie alkilującymi [28, 56-59, 61, 62]. Niemal wszystkie oddziaływania tych chemikaliów można wytłumaczyć w kategoriach chemii i toksykologii. Własności alkilujące związków chemicznych będziemy omawiać szerzej w rozdziale o gazach fosforoorganicznych. Zwrócimy tu jednak uwagę, że iperyt powoduje uszkodzenia podobne funkcjonalnie i morfologicznie do działania promieni X. Analogia działania mutagennego promieni X i pochodnych iperytu azotowego była powodem przyjęcia przez Dustina - już w 1947r. - nazwy radiomimetyki dla tych chemikaliów, jak również do określenia sposobu ich działania jako efekt radiomimetyczny [63]. Ponieważ opublikowano wiele wyczerpujących przeglądów prac doświadczalnych na temat radiomimetyków, nie będziemy tu ich omawiać szczegółowo [38,64-67].


rys.3. 1 cyklizacja iperytu

rys.3. 2 przypuszczalny mechanizm alkilowania DNA
Podstawą wszystkich tych prac jest kwestia działania mutagennego. Działanie to wykazano na kulturach bakteryjnych i komórkowych, jak również na zwierzętach doświadczalnych. Trzeba jednak zachować dużą ostrożność przy ekstrapolacji tych wyników na działanie trucizn w organizmie ludzkim. Ponieważ podobnych doświadczeń nie można dokonywać na ludziach, jedyną możliwością jest badanie efektów mutagennych iperytu i podobnych mu trucizn na byłych pracownikach przemysłu gazów bojowych. Są oni obecnie rosnącą i dużą grupą pacjentów.

W. Hellmann pod kierunkiem H. Spiegelberga prowadził w NRF jako pierwszy badania kliniczne nad zmianami genetycznymi wśród rodzin osób poszkodowanych w kontakcie z iperytem azotowym i siarkowym [38]. W oparciu o badania obejmujące potomstwo 134 byłych pracowników zakładów wytwarzających CW, wykrył śmiertelne, dominujące mutacje sprzężone z płcią w połączeniu ze znacznym zniekształceniem relacji płci wśród dzieci ojców, którzy byli narażeni na działanie toksyn (głównie iperytów). Badania wykazały nie tylko występowanie uszkodzeń nasienia, ale również zaburzenia na różnych etapach spermatogenezy.

Również osłabienie potencji opisano jako skutek posługiwania się gazami bojowymi i im podobnymi chemikaliami [2, 52, 68, 69]. Wyniki uzyskane przez Hellmanna prowadzą do daleko idących wniosków. Wskazują na potrzebę prowadzenia takich badań w innych dziedzinach przemysłu, jak również opublikowania wyników uzyskiwanych w analogicznych badaniach.

Związek między mutagennością i rakotwórczością jest innym zagadnieniem, które powinno otrzymać najwyższy priorytet w tych badaniach. Jak wiadomo, iperyt azotowy był przez wiele lat stosowany w terapii antynowotworowej jako cytostatyk [30, 70-72]. Bliska zależność między mutagennością i działaniem cytostycznym została wykazana w badaniach Conena i Lansky'ego. Wykryli oni wyraźne mutacje chromosomalne w postaci delecji i fuzji w przypadku nowotworu oskrzeli traktowanego iperytem [73]. Studia nad żołnierzami z I wojny światowej, którzy przeżyli zatrucie gazami wykazały, że w tej grupie spotyka się znacznie częściej raka płuc niż wśród "normalnych" ludzi [74-75]. W 1955 roku Case opublikował wyniki badań nad prawdopodobieństwem występowania nowotworu płuc w następstwie zatrucia iperytem wśród żołnierzy z I wojny światowej. Studium to stanowi pierwszy dowód statystycznie istotnej zwiększonej podatności na raka płuc u poszkodowanych przez zatrucie gazem weteranów brytyjskich. Beebe uzyskał podobne wyniki w 1960 roku na podstawie analizy zatruć gazami [74]. W 1958 roku A. Weiss z RFN opisał 40 przypadków zgonów wśród 261 byłych pracowników zakładów wytwarzających CW. 40 procent zgonów spowodowanych było nowotworami złośliwymi, co wskazuje na ich związek z pracą przy iperycie [53]. A. Weis i B. Weiss wykazali później, że wyniki te są bardzo pewne [52]. Yamada z Japonii stwierdził wzrost zapadalności na nowotwory wśród osób, które uległy zatruciu (nie zagrażającemu śmiercią) gazami [76-77].

Hueper w USA, czołowy ekspert w zakresie zawodowych chorób nowotworowych, wskazuje na stały wzrost zachorowań na raka płuc spowodowanego ekspozycją na CW [78]. Według niego wszystkie znane czynniki rakotwórcze dla układu oddechowego, niezależnie od wywoływania nowotworów różnych części układu oddechowego człowieka, powodują charakterystyczny dla badanego kancerogenu zespół symptomów, które odzwierciedlają jego toksyczne działanie na błonę śluzową układu oddechowego i inne tkanki. Dla iperytu wymienia on: chroniczne zapalenie skóry, chroniczny nieżyt nosa, zapalenie krtani, zapalenie płuc, rozedmę płuc i rozstrzenie oskrzeli, które towarzyszą nowotworom płuc, krtani i zatok nosowych. Te etiologicznie specyficzne kompleksowe objawy służą częściowo jako wskaźnik zatrucia. Niekoniecznie jednak występują u wszystkich chorych na nowotwory związane z pracą. Mogą ponadto wystąpić na wiele lat przed ujawnieniem się choroby nowotworowej.

W 1968 r. Wada opublikował badania nad 495 osobami, które w latach 1929-45 miały bezpośrednio styczność z iperytem [79]. Spośród nich w międzyczasie 361 zmarło, w tym 49 zgonów spowodował nowotwór dróg oddechowych.

U. Hellmann w swojej pracy [51] wykazał, że rakotwórcze własności iperytu azotowego można uznać za udowodnione. Od 1958 roku zmarło 43 spośród 157 byłych pracowników zakładów produkujących CW, a wśród nich 20 na nowotwory. Średni okres ekspozycji na iperyt azotowy pracowników zmarłych na nowotwór wynosił 4,6 lat. Średni okres czasu między pierwszym kontaktem z iperytem a śmiercią na raka wynosił 18,5 roku. Przez porównanie z grupami kontrolnymi ludności w RFN Hellmann wyliczył przy błędzie statystycznym mniejszym niż 0,001, że śmiertelność na nowotwory wśród tych pracowników ma znacząco wyższą częstość występowania.

Dla opisu opóźnionych schorzeń spowodowanych zatruciem iperytem fundamentalne znaczenie ma publikacja Spiegelberga o objawach psychopatologicznych i neurologicznych spotykanych u pracowników niemieckich zakładów produkujących CW przed końcem II wojny światowej [2]. Publikacja korzysta z obserwacji A. Weissa prowadzonych w latach 1951-53. Spiegelberg po raz pierwszy przedstawił szeroki przegląd wcześniejszych publikacji i zilustrował go wynikami własnych obserwacji. Nie możemy tu zaprezentować jego licznych badań. Niemniej trzeba stwierdzić, że wszystkie późniejsze opracowania tematu uwzględniają wyniki Spiegelberga, które prawdopodobnie są najważniejszymi spośród opublikowanych po II wojnie światowej. Dwaj współpracownicy Spiegelberga, U. Hellmann i W. Hellmann, kontynuowali badania i w 1970 roku opublikowali kolejną pracę. Wskazują w niej, w oparciu o badania statystyczne, na nasilenie symptomów u pracowników wcześniej badanych przez Spiegelberga : zniedołęznienie, niezdolność do koncentracji, utratę witalności, nadwrażliwość sensoryczną (czuciową), zmniejszenie libido, osłabienie potencji, dolegliwości neuralgiczne, epigastryczne i zaburzenia kardiologiczne [51]. Autor pisze: "Interesujące, że nie tylko mamy tu poważne pogłębienie określonych zaburzeń obwodowego i centralnego układu nerwowego, ale ponadto zaostrzyły się zaburzenia fizyczne".

Podsumowując aspekty medyczne trzeba stwierdzić, że CW z grupy iperytu są zdolne do powodowania szerokiego zakresu efektów mutagennych, nowotworowych, hepatotoksycznych i neurotoksycznych. Trzeba zauważyć, że nawet ekspozycja na bardzo małe ilości, nie wywołujące ostrych objawów zatrucia, może zapoczątkować działanie toksyczne. Jak dalekie spowoduje uszkodzenia komórek nerwowych, układu krwiotwórczego i tkanek miąższowych zależy w dużej mierze od stanu zdrowia (na przykład - wcześniejsze uszkodzenia jakiegoś narządu), czasu ekspozycji oraz przerw w kontakcie z trucizną, a wreszcie indywidualnej "zdolności do detoksykacji"(polimorfizm enzymów, predyspozycje genetyczne itp.). Omawiając estry fosforoorganiczne spotkamy się z wielu podobnymi problemami.

Opóźnione schorzenia powodowane przez inne trucizny wojskowe

Gazy łzawiące

Gazy łzawiące, inaczej lakrymatory, są jednym z najstarszych rodzajów broni chemicznej. Zdania wśród specjalistów są podzielone czy gazy te powinny zostać zaliczone do broni chemicznej w ścisłym tego terminu znaczeniu. Z takiego przyporządkowania wynika bowiem konieczność wykluczenia ich z użytkowania wraz z innymi środkami masowej zagłady. W przeciwnym razie można je uważać za uprawniony środek używany przez policję w czasie kryzysów [80].

W przeszłości doświadczenie z używaniem gazów łzawiących wykazało, że w zależności od sposobu i natężenia ich użycia wpływ tego czynnika na zdrowie ludzi może być zaniedbywalny albo poważny i trwały [43, 45, 46]. Pomijając wypadki (jakie czasem zdarzają się np. podczas sprawdzania masek przeciwgazowych) substancje te mogą spowodować uszkodzenie zdrowia tylko w sytuacjach ekstremalnych. Należy do nich np. sytuacja, gdy osoba pozbawiona ochrony przeciwgazowej wystawiona jest na duże stężenie gazu łzawiącego będąc unieruchomioną przez dłuższy czas w wyniku zranienia, zasypania lub przetrzymywania siłą. Inną ekstremalną sytuacją może być odpalenie granatu gazowego w pobliżu osoby poszkodowanej, co daje w efekcie wysokie miejscowe stężenie gazu łzawiącego i wraz z ciężkimi obrażeniami prowadzi do poważnego uszczerbku zdrowia [45].

Znanych jest wiele zdarzeń z czasów I wojny światowej i wojny wietnamskiej, jak również z akcji policyjnych przeciw demonstrantom, kiedy użycie gazów łzawiących spowodowało ciężkie i trwałe uszkodzenia oczu oraz równie poważne uszkodzenia płuc, jak te spotykane w przypadku porażenia fosgenem [7]. Ponadto są podstawy do obaw, że ekspozycja na gaz łzawiący prowadzi do jeszcze gorszych schorzeń. Neilands omawiając wyniki uzyskane przez Barry'ego wskazuje na rakotwórcze własności malononitrylu 2-chlorobenzylidenu (CS) [24]. Aktywność biologiczna - zagadnienie kancerogenności - podstawionych malonitryli jest bardzo rozmaita i jeszcze niedostatecznie rozpoznana [82-84].

Wypada stwierdzić, że zagrożenie toksykologiczne ze strony CS często jest bagatelizowane [85]. Trzeba też zwrócić uwagę na alergiczne własności CS i innych czynników używanych do rozpędzania tłumu. Są one szczególnie istotne zwłaszcza dla pracowników i personelu wojskowego zatrudnionych przy produkcji i magazynowaniu tych gazów [86]. Badania prowadzone w USA i RFN kilka lat temu potwierdzily domniemane działanie rakotwórcze eteru dwuchlorometylowego (używanego w I wojnie światowej jako gaz łzawiący [87], a obecnie stosowanego w przemyśle chemicznym jako półprodukt) [88].

Efektem ekspozycji na gaz łzawiący mogą też być zaburzenia nerwowe, tj. histeria (nerwica histeryczna lękowa) lub szok psychiczny. Ludzie nie uprzedzeni o rzeczywistej skali zagrożenia lub o realnie grożącym im niebezpieczeństwie, wynikającym z użycia gazu łzawiącego, mogą wpaść w panikę, która powoduje schorzenia psychosomatyczne jako objawy wtórne. To, co powiedział kiedyś Haber (niemiecki chemik i laureat nagrody Nobla) o znaczeniu odziaływania na psychikę na polu bitwy, jest nadal aktualne[89]:

" Decydujące bitwy nie zostały wygrane przez fizyczne unicestwienie wroga lecz przez osłabienie jego psychiki. W krytycznym momencie zabrakło woli utrzymania oporu i w umyśle żołnierzy mogła powstać wizja klęski. Taki zwrot myślenia zmienia żołnierzy z siły wojskowej poddanej woli przywódcy w stado zdesperowanych ludzi. Najbardziej efektywną techniką uzyskania powodzenia strategicznego wskutek wywołania szoku psychicznego jest użycie artylerii. Jednak jej działanie ogranicza się do spowodowania przestrachu i zaskoczenia po uderzeniu pocisku w cel. Choćby pocisk był nawet dwa lub cztery razy większy i potrafił spenetrować głębiej powodując większe zniszczenia, to nadal działa lokalnie. I w stosunkowo niewielkim odaleniu od miejsca wybuchu różnica wielkości pocisku i skutkach detonacji nie będzie odczuwana. Życie w ziemiankach, gdzie można spodziewać się bezpośredniego trafienia albo zostać zasypanym żywcem czyni ogromne spustoszenie w kondycji psychicznej. Niemniej doświadczenie wojenne dowodzi, że napięcie to jest tolerowane, gdyż wielokrotne powtarzanie się podobnych bodźców stopniowo przytępia zmysły. W przypadku użycia gazów bojowych sytuacja jest inna. Ich ważną cechą jest to, że wpływ wywierany na psychikę ludzi i indywidualny odbiór zagrożenia może zmieniać się na tysiąc sposobów. Każda zmiana odczuć odbieranych przez powonienie lub smak wpływa na równowagę psychiczną, budzi obawę nieznanego oddziaływania. Skutkiem jest nowe uderzenie na morale żołnierza. Jego odporność psychiczna słabnie, podczas gdy udział w bitwie wymaga niepodzielnej uwagi..."

Współczesny człowiek wydaje się być szczególnie podatny na sytuacje stresowe, zwłaszcza na stres wywołany chemikaliami, który różni się w pewien sposób od typowych sytuacji stresujących.

Kwestia opóźnionych schorzeń powodowanych przez gazy łzawiące powinna być ponownie rozpatrzona. Trzeba też wziąć pod rozwagę element psychologiczny użycia gazów łzawiących. Wiadomo, że gazy łzawiące mogą spowodować trwałe uszkodzenie oczu, a nawet ślepotę. Umniejszanie tych kwestii byłoby nieodpowiedzialne [90].

Środki psychotropowe

Mówienie o środkach psychotropowych w kontekście schorzeń opóźnionych, powodowanych przez bojowe środki trujące, jest związane z pewnymi trudnościami. Pomijając benzylany piperydylu, np. benzylan 3-nuklidynylu (BZ), niewiele można powiedzieć o przydatności wojskowej wielu środków psychotropowych. Jak dotąd, spekulacje wychodzą daleko poza rzeczywistość. Ponadto, wiele eksperymentalnych dowodów trwałych uszkodzeń - zwłaszcza działania mutagennego i teratogennego - powstało w oparciu o środki psychotropowe uzywane jako wojskowe "chemikalia testowe". Dotyczy to na przykład LSD, pochodnych kanabiolu, DMT i psylocybiny. W pewnym zakresie dostępne są też wyniki obserwacji klinicznych schorzeń opóźnionych i chronicznych[91-95]. Niemniej niektórzy naukowcy nie są przekonani, że środki psychotropowe prowadzą do opóźnionych schorzeń [96-98].

Wprawdzie zsyntezowano wiele środków psychotropowych [99, 100], jednak tylko kilka było obiektem szczegółowych badań toksykologicznych. Z punktu widzenia toksykologii wojskowej sytuacja jest oceniana następująco:
* Środki psychotropowe typu LSD to substancje skuteczne nawet w minimalnych ilościach (dawka w zakresie mikrogramów).
* W warunkach bojowych możliwe jest użycie tych chemikaliów w ilościach nie powodujących trwałych uszkodzeń ludzkiego organizmu po przyjęciu jednej dawki.
* Można osiągnąć efekt bez uszczerbku zdrowia, aczkolwiek u osób ekstremalnie wrażliwych mogą wystąpić podobne zaburzenia, jak w przypadku gazów łzawiących.

Schorzenia opóźnione mogą oczywiście pojawić się w rezultacie ataków sabotażystów lub terrorystów na społeczność cywilną. Wówczas można spodziewać się podania dużej dawki (lub niewielkiej, lecz przez długi okres czasu). Również trzeba spodziewać się opóźnionych schorzeń, kiedy środki psychotropowe są wielokrotnie podawane w dawkach efektywnych do wywierania nacisku ("pranie mózgu", wymuszanie zeznań, itp.). Od wielu lat prowadzone są intensywne prace nad mechanizmem działania środków psychotropowych. Mimo znaczących osiągnięć na tym polu, najnowsze publikacje nadal dostarczają zbyt mało pewnych informacji o metabolizmie tych substancji [101].

Skoncentrujemy się tu na szkodliwych oddziaływaniach środków psychotropowych na zdrowie człowieka. Z doświadczenia wiadomo, że o ile w toksykologii nieuniknione są badania na zwierzętach, to wyniki te mogą przynieść wnioski radykalnie nieprawdziwe w stosunku do ludzi. Przypadek talidomidu tragicznie i dobitnie wskazał opinii publicznej na wagę tej różnicy na polu farmakologii. Preparat wcześniej rygorystycznie przebadany na zwierzętach, zgodnie z ówczesną wiedzą farmakologiczną, u ludzi spowodował uszkodzenia płodu, które przyczyniły się do urodzeń wielu kalekich dzieci. To uzasadnia nieufność do ocen preparatów biologicznie czynnych opartych wyłącznie na wynikach eksperymentów na zwierzętach.

Z powodu wielu problemów związanych z przedmiotem opóźnionych i trwałych schorzeń spowodowanych przez broń chemiczną do opinii publicznej dociera głównie nieprawdziwy ich obraz, szczególnie w postaci przesadnych doniesień dziennikarzy. Generalizują oni bezkrytycznie i arbitralnie wyniki doświadczeń na zwierzętach. Używają przy tym przerażających epitetów w rodzaju "obłok śmierci" i malują obraz ludzkości trzymanej pod strasznym terrorem psychochemikaliów. Takie artykuły - czasem wynikające z najlepszych intencji ostrzeżenia o zagrożeniach ze strony gazów bojowych - błędnie opisują już udowodnione szkodliwe oddziaływanie rzeczonych substancji. Rzetelne dane o prawdziwych zagrożeniach, zebrane na podstawie poznanych CW, powinny być wykorzystane w celu uzyskania całkowitego zakazu broni chemicznej. Są zatem zbyt cenne, by być przedstawiane w niewiarygodny sposób, przypominający opowiadania science-fiction i w przez to odbierane w kategoriach koszmaru i groteski.

Podsumowując powyższe omówienie psychochemikaliów można powiedzieć, że z jednej strony mamy do czynienia z niedostatkiem danych o substancjach przydatnych wojskowo jako psychochemikalia, a z drugiej doświadczenie uzyskane z modelowymi psychochemikaliami każe spodziewać się wielkiego zagrożenia ze strony trwałych i opóźnionych schorzeń [92]. Kiedy natomiast zwolennicy wojskowych środków psychotropowych nie dbając o ostrzeżenia naukowców utrzymują, iż jest to najbardziej humanitarne uzbrojenie - po prostu zwodzą albo wprowadzają w błąd opinię publiczną.



HerbicydyZastosowanie herbicydów przez armię amerykańską w Wietnamie i w Kambodży jasno wykazało, że nawet środki szkodliwe dla roślin powinny być traktowane jako broń chemiczna, jeśli mogą być użyte w wojnie ekologicznej. Na Wschodzie i Zachodzie opublikowano szczegółowe raporty o zaobserwowanym tam niszczącym wpływie herbicydów na glebę, a potem na rośliny i zwierzęta [60, 102]. Ponieważ przedstawiają głównie straty ekologiczne, raporty te pomijają, a w każdym razie traktują jako rzecz drugorzędną, zaobserwowane też zróżnicowane ciężkie schorzenia u ludności cywilnej i żołnierzy na terenach walk w tych krajach. Ze strony Wietnamu natomiast uwaga skoncentrowała się na ciężkich obrażeniach ludności spowodowanych przez użycie trujących chemikaliów przez armię amerykańską. Dopiero ostatnio uzyskano pełny obraz strat, gdyż ujawniły się opóźnione schorzenia, co przyczyniło się do narastającego zainteresowania tym problemem. Zaledwie kilka lat temu, podczas eskalacji działań w Wietnamie, strona amerykańska całkowicie wykluczała możliwość wystąpienia opóźnionych schorzeń po użyciu chemicznych czynników wylesiających. Jednak już w tym czasie dostępne były w USA wyniki prac badawczych, które wykazały, że działanie herbicydów typu kwasu 2,4-dwuchlorofenoksyoctowego (2,4-D) powoduje u ludzi oprócz ciężkich obrażeń bezpośrednich, również trwałe i opóźnione uszkodzenia neuropatologiczne [103].

Prasa proamerykańska uporczywie utrzymywała, że "herbicydy" jako dostępne w handlu i stosowane przez wszystkich rolników, nie mogą stanowić odmiany broni chemicznej, ani też nie powinny być klasyfikowane jako groźne dla ludzi. Te trujące chemikalia akceptowano jako uprawniony i militarnie niezbędny element walki na terenie dżungli. Amerykańscy naukowcy i nauczyciele wyrażali obiekcje oraz ostrzeżenia o konsekwencjach ekologicznych w wyniku zniszczenia użytecznych roślin i stad zwierząt. Zostały one odrzucone przez wojskowych i polityków jako przykre, lecz nieuniknione, uboczne skutki prowadzenia wojny. W opublikowanym przez US National Academy of Sciences studium pt.: The Effects of Herbicides in South Vietnam, wykazano, że oświadczenia składane przez amerykańskich przedstawicieli rządu i wojska w czasie wojny w Wietnamie były w większości fałszywe i zwodnicze [102]. Nawet jeśli uwzględnimy, że odpowiedzialni za opryski herbicydami nie byli w stanie przewidzieć biochemicznych oddziaływań tych trucizn na ludzi i środowisko, a naukowcy nie byli ostatecznie przekonani o niebezpieczeństwie niektórych efektów (patrz niżej) - to nic nie usprawiedliwia tych, którzy nakazali rozpylić 17,5 mln galonów silnie aktywnej biologicznie substancji nad lasami, polami uprawnymi i zamieszkałymi regionami w okresie od 1965 do 1971.

Nie będziemy tu zajmować się szczególnymi własnościami wszystkich czynników wylesiających stosowanych w wojnie wietnamskiej. Jak wcześniej wspomniano, dostępne są liczne publikacje i artykuły dotyczące kwestii naukowych. Szczegółowe dane można też znaleźć w wojskowych podręcznikach amerykańskich [104]. Dla zilustrowania, jak różne problemy wynikają po użyciu tych trucizn wobec ludzi i środowiska, omówimy tylko dwa ważne doświadczenia wyniesione z wojny wietnamskiej. Są to wpływ teratogenny, podkreślający opóźniony charakter schorzeń powodowanych przez te trucizny [105], oraz efekt kancerogenny, o którym też już są doniesienia [106].

Pierwsze podejrzenia oddziaływania teratogennego, po użyciu chlorowanych kwasów fenoksykarboksylowych (np. 2,4-D i 2,4,5-T - czyli kwasu 2,4,5-trójchloro-fenoksyoctowego) jako herbicydów, doprowadziły do zintensyfikowania badań w dziedzinie chemii i toksykologii tych związków. Stwierdzono, że podczas wcześniej nie analizowanych reakcji ubocznych z soli sodowych chlorofenolu tworzą się chemikalia najbardziej trujące z dotychczas znanych. Jest to silny czynnik parzący zdolny do wywoływania efektów ogólnoustrojowych - 2,3,7,8-czterochlorodwubenzo-p-dioksyna (krótko dioksyna). Zacytujemy tu fragment z amerykańskiej rządowej publikacji The Effects of Herbicides in South Vietnam [102a]: "Wprawdzie dostępne dane toksykologiczne wskazują, że w znacznym zakresie wielkości dawki, związki typu herbicydów są względnie nieszkodliwe, jednak nigdy wcześniej tak duża populacja ludzka nie była poddana ich działaniu. Równocześnie przed uruchomieniem działań nie wiadomo było, że herbicyd 2,4,5-T był skażony nadzwyczaj trującym związkiem TCDD (2,3,7,8-czterochlorodwubenzo-p-dioksyna). Ponad 200-300 funtów tej trucizny zawarte w całej masie 50 mln funtów 2,4,5-T zostało rozpylone nad Południowym Wietnamem. Jest to wielkie szczęście, że dotychczas nie odkryto żadnych nieszczęśliwych tego następstw. Jednak fakt, że w 1973 roku nadal obserwuje się zastanawiające ilości tej substancji w rybach z wód śródlądowych, zasługuje na dalszą uwagę."

Dokładniejszy przegląd literatury światowej i bardziej krytyczne podejście do chemikaliów użytych w wojnie wietnamskiej mogły znacznie wcześniej uświadomić naukowcom i ekspertom z Pentagonu, że substancje te są znacznie bardziej niebezpieczne niż wydawały się po pobieżnym ich zbadaniu.

Dermatolodzy znają już od 75 lat obraz kliniczny choroby, opisanej po raz pierwszy przez Herxheimera w 1899 roku, zwanej chloracne ( co po polsku można przetłumaczyć jako "trądzik chlorowy") z powodu mylnego przypisania jej przyczyny do zatrucia gazowym chlorem. Jest to chroniczna choroba skórna cechująca się uporczywą wysypką, zapaleniem mieszków włosowych, nadmiernym rogowaceniem, krostowatością i czyracznością. Tym dermatologicznym objawom we wczesnym stadium towarzyszą ból i osłabienie kończyn dolnych, częściowe drętwienie, dolegliwości sercowe i układu psychowegetatywnego. W dalszym stadium mogą pojawić się ciężkie uszkodzenie wątroby (marskość i martwica), zapalenie oskrzeli, zapalenie wielonerwowe (polineuropatia), zapalenie mózgu, uszkodzenia nerek i śledziony, jak również chroniczne i opóźnione wielopostaciowe schorzenia psychopatologiczno-neurologiczne.

Wnikliwe badania 100 przypadków trądziku chlorowego zrealizowali w 1961 roku Bauer, Schulz i Spiegelberg [107]. Potwierdzili oni obawy, że dioksyna, powstająca jako produkt uboczny alkalicznej hydrolizy 1,2,4,5-czterochlorobenzenu do 2,4,5-trójchlorofenolu, jest trucizną odpowiedzialną za sekwencyjnie narastające zatrucia o zróżnicowanym charakterze. W tym czasie ich praca nie wzbudziła należnego zainteresowania, podobnie jak wyniki Schulza opublikowane w 1957 [108].

W 1972 Goldmann opisał przypadek masowego zatrucia w przemyśle [109]. Podczas katastrofy w zakładach Badische Anilin- & Soda-Fabrik AG w Ludwigshafen, w RFN, pięćdziesiąt pięć osób zostało bardzo ciężko poszkodowanych w ostrym zatruciu wywołującym trądzik chlorowy. Oprócz wyprysków skórnych typowych dla tego zatrucia w 21 przypadkach zaobserwowano objawy zatrucia ogólnoustrojowego. Wśród nich odnotowano uszkodzenia narządów miąższowych (wątroby, śledziony i nerek), układu oddechowego, mięśnia sercowego, oczu i centralnego układu nerwowego. Warto zauważyć, że dopiero po trzech latach od zdarzenia można było wskazać na dioksyny jako czynnik toksyczny. W 1961 roku wykonano doświadczenia na zwierzętach w miejscu zdarzenia (wymagane wobec okoliczności towarzyszących wypadkowi), które wykazały nadal obecność dioksyn w ścianach i tynkach. Ponieważ oceniono, że wykonanie 100 procentowego odkażenia jest niewykonalne, w 1968 roku podjęto decyzję o wyburzeniu budynku. W związku z tym wypadkiem wykonano w laboratorium biomedycznym BASF serię doświadczeń na zwierzętach. Uzyskano wartość dawki śmiertelnej dioksyny dla królików 10 ?g/ kg wagi ciała, natomiast dawka 3 ?g/kg powodowała uszkodzenie wątroby. Do tego czasu uważano sześciochloronaftalen za przyczynę trądziku chlorowego, zwanego też chorobą PERNA (od perchlorinated naphthalene). Tymczasem dioksyny okazały się 10 000 razy silniejszą trucizną.

Obecnie zainteresowanie dioksynami jest powszechne. Można podejrzewać, że to niewczesne zainteresowanie wywodzi się bardziej z możliwości użycia dioksyn jako ekstremalnie silnej trucizny o znaczeniu wojskowym niż z rozważań czysto naukowych [110-111].

Doniesienia z ostatnich lat ujawniły niedokładności wszystkich poczynionych wcześniej kalkulacji rzeczywistej lub przypuszczalnej zawartości dioksyn w preparatach 2,4-D i 2,4,5-T oraz na plantacjach i innych terenach opryskiwanych chemikaliami zawierającymi chlorofenole. Buu-Hoi ze współpracownikami stwierdzili, że dioksyny tworzą się nie tylko w czasie alkalicznej hydrolizy czterochlorobenzenu do 2,4,5-trójchlorofenolu, czyli przemysłowego prekursora 2.4.5-T, ale że są też produktami pirolizy 2,4,5-T [112]. Sandermann ze współpracownikami już 1957 roku przewidywał możliwość zachodzenia takiej reakcji, jednak nie potrafił ocenić wszystkich wynikających stąd implikacji. W wyczerpującym przeglądzie opublikowanym w 1974 roku Sandermann przedstawia wielochlorowane związki aromatyczne jako trucizny środowiskowe [113]. Odwołuje się też do wcześniejszego raportu, według którego spośród 30 pracowników, rozpylających środek chwastobójczy (chlorowany kwas fenoksyoctowy) na nasypach kolejowych w Szwecji, pięciu zmarło wkrótce potem - w tym czterech na raka. [114a]. Niedługo potem jednak wyjaśniono, że wszyscy oni mieli również kontakt z innym herbicydem amitrolem (3-amino-1,2,4-triazol) o którym wiadomo, że ma własności rakotwórcze [114b]. W tym samym okresie stwierdzono w USA , że wypalanie poszycia leśnego opryskanego wcześniej herbicydami zawierającymi chlorofenole może prowadzić do tworzenia się dioksyn [115].

Patrząc z tej perspektywy na zastosowanie herbicydów przez armię USA w Wietnamie i pamiętając, że lasy w ten sposób pozbawione listowia często były następnie wypalane napalmem, zaczynamy zdawać sobie sprawę z faktycznej skali oddziaływania dioksyn na terytorium i ludność tego kraju. Ponure rezultaty tej akcji ujawnią się po latach i dekadach w postaci wzrostu zachorowań na raka i urodzeń kalekich dzieci.



Schorzenia opóźnione powodowane przez fosforoorganiczne bojowe środki trujące

Jedynymi pracami publicznie dostępnymi na temat opóźnionych schorzeń powodowanych przez broń chemiczną typu związków fosforoorganicznych są publikacje Spiegelberga [50], U.Hellmann [51] i W.Hellmann[38]. Oczywiście ukazało się wiele innych publikacji traktujących o szerokim spektrum opóźnionych schorzeń wywoływanych przez gospodarczo ważne związki fosforoorganiczne. W tych opracowaniach, dotyczących głównie fosforoorganicznych pestycydów, rozpuszczalników i plastyfikatorów, można jednak sporadycznie znaleźć odniesienia do toksyn wojskowych. Ponieważ wszystkie te związki fosforoorganiczne są bardzo zbliżone strukturalnie i funkcjonalnie, odkrycia dotyczące aktywności chemikaliów przemysłowych można na zasadzie analogii odnieść do czynników bojowych. Ponadto w czasach broni binarnych tym trudniej jest rozróżnić czy dany związek ma zastosowanie cywilne czy wojskowe. Pracownicy zatrudnieni przy produkcji i magazynowaniu tych substancji często nie są świadomi przeznaczenia wytwarzanych produktów.

W zależności od sposobu produkcji i aplikacji tych substancji, ofiary ataku są wystawione na złożoną mieszaninę związków fosforoorganicznych. Zawiera ona główny składnik, produkty jego częściowego rozkładu, półprodukty i surowce nie w pełni zużyte w procesie produkcji, jak również związki fosforoorganiczne tworzące się w reakcjach ubocznych. Istny koktajl składników rozmaitych pod względem chemicznym i toksykologicznym. Schaffer i West wykazali, że włączenie Tetramu (ester fosforoorganiczny podobny do V-gazu) jako dodatkowego składnika mieszaniny powoduje wielki wzrost jej toksyczności. [116] Kiedy w następnych podrozdziałach stosujemy określenie związki fosforoorganiczne bez doprecyzowania, co będzie dość częste, zamierzamy mówić o wszystkich związkach fosforoorganicznych blisko ze sobą spokrewnionych pod względem własności chemicznych i toksykologicznych.



Reprezentują one grupę o wzorze ogólnym po raz pierwszy przedstawionym w 1937 roku przez G. Schradera, który był pionierem badań w dziedzinie insektycydów fosforoorganicznych. Według Schradera efektywne (więc trujące) estry można otrzymać, kiedy centralny atom fosforu połączony wiązaniem podwójnym z tlenem lub z siarką jest oprócz tego związany z dwoma identycznymi bądź różnymi podstawnikami oraz z grupą kwasową organiczną lub nieorganiczną [117]. W tabeli 5.1 przedstawiamy wykaz ważnych wojskowych gazów bojowych i cywilnych pestycydów, spełniających wzór ogólny Schradera.

Z wojskowego punktu widzenia, V-gazy i w pewnym stopniu G-gazy odgrywają obecnie najważniejszą rolę jako CW. W związku z tym, broń binarna może stać się najbardziej użytecznym sposobem aplikacji broni chemicznej [118]. Wprowadzenie technologii broni binarnej może też prowadzić do ponownego zainteresowania innymi silnie trującymi związkami fosforoorganicznymi, które zaledwie kilka lat temu zostały zdyskwalifikowane jako potencjalna broń chemiczna z powodu niekorzystnych własności, jak np. mała stabilność podczas transportu i składowania.


Objawy ostrego zatrucia związkami fosforoorganicznymi


W celu wyjaśnienia problemu opóźnionych schorzeń najpierw trzeba przedstawić krótko symptomy związane z ostrym zatruciem związkami fosforoorganicznymi. Czytelnik zainteresowany dalszymi szczegółami powinien sięgnąć do monografii [119-121].

Estry fosfonowe i fosforowe mogą wniknąć do organizmu człowieka przez oddychanie, wchłonięcie z przewodu pokarmowego, lub - co ważne - przez kontakt ze skórą. Wprowadzenie do organizmu tych w zasadzie bezwonnych i pozbawionych smaku związków nie wiąże się z żadnym odczuwalnym efektem. Zatrucie manifestuje się potem przez wystąpienie ciężkich objawów. Symptomy zatrucia związkami fosforoorganicznymi klasyfikuje się następująco:
* Efekt muskarynowy: zwężenie źrenicy, kurcz akomodacji, zwężenie oskrzeli, skurcz oskrzeli, zwolnienie akcji serca, mdłości, wymioty, ból brzucha, biegunka, nietrzymanie moczu i kału, bladość, ślinotok, pocenie się, łzawienie i podwyższone ciśnienie krwi
* Efekt nikotynowy: drżenie, miastenia (nużliwość mięśni), skurcze i możliwy paraliż
* Zatrucie centralnego układu nerwowego: zawroty głowy, nieznośny ból głowy, lęki/stany lękowe, zaburzenia mowy i równowagi, zahamowanie czynności ośrodka oddechowego i w końcu śpiączka i drgawki.

Wszystkie te objawy wynikają z intensywnej stymulacji autonomicznego układu nerwowego przez akumulację acetylocholiny we włóknach zazwojowych przywspółczulnych (efekt muskarynowy), w synapsach między włóknami przedzwojowymi i zazwojowymi zarówno w neuronach współczulnych jak i przywspółczulnych (efekt nikotynowy), połączeniach nerwowo-mięśniowych mięśni prążkowanych (efekt nikotynowy) i w centralnym układzie nerwowym. Wszystkie te symptomy wymieniamy w tablicy 5.2 .

Mechanizm biochemiczny zatrucia związkami fosforoorganicznymi

Gdybyśmy próbowali przedstawić przegląd licznych publikacji naukowych o biochemicznych mechanizmach zatrucia, wykroczylibyśmy poza zakres naszego krótkiego omówienia. W tej części powinniśmy jednak zapoznać się z niektórymi faktami istotnymi dla zrozumienia całości zagadnienia. Całość tematu czytelnik może studiować w wielu opracowaniach i monografiach [40b, 123-128].

Związki fosforoorganiczne, którymi zajmujemy się tutaj są silnymi truciznami zdolnymi do specyficznej inhibicji enzymu cholinoesterazy. To działania na cholinesterazę niektórych organicznych pochodnych fosforanów było znane niemieckim biochemikom i farmakologom od czasu, gdy na zlecenie Wehrmahtu przed wybuchem II wojny światowej intensywnie pracowali nad estrami fosfonowymi dla potrzeb broni chemicznej. Zespoły badaczy brytyjskich również niezależnie zajmowały się tym zadaniem w czasie II wojny światowej. Obecnie wiemy, że obok cholinoesterazy wiele innych enzymów może podobnie reagować ze związkami fosforoorganicznymi - szczególnie chymotrypsyna, trypsyna, wątrobowa esteraza, lipaza mleka, oksydaza cholinowa, oksydaza cytochromowa, anhydraza węglanowa, amylaza, karboksylaza i dehydrogenaza. Objawy inhibicji cholinesterazy dominują w pierwszych przejawach zatrucia. Procesy inhibicji pozostałych wymienionych enzymów są nadal niekompletnie poznane.

Niektóre ogólne uwagi mogą być tu przydatne do wykazania roli cholinoesterazy jako ważnego uczestnika podstawowych procesów przekazywania sygnałów nerwowych. Cholinoesteraza wraz z innymi esterazami, anhydrazami węglanowymi, proteazami i amidazami, należy do dużej grupy enzymów hydrolitycznych lub hydroksylaz. Inna podstawowa grupa enzymów - desmolazy - obejmuje enzymy katalizujące końcowy rozpad produktów hydrolizy.

Acetylocholinoesteraza (wcześniej zwana "prawdziwą cholinoesterazą") różni się od cholinoesterazy (zwanej wcześniej "pseudocholinoesterazą", cholinoesterazą surowicy lub osoczową). Acetylocholinoesteraza posiada duże powinowactwo do acetylocholiny, jest zdolna do rozszczepienia tego estru choliny znacznie szybciej niż innych pochodnych choliny. Występuje w tkance nerwowej, mięśniach i krwinkach czerwonych. Odgrywa decydującą rolę w procesie transmisji impulsów nerwowych. Acetylocholina jest niezbędna w procesach fizjologicznych, gdyż bierze udział w procesach transmisji impulsów przez połączenie synaptyczne między neuronami. Kiedy, na przykład, impuls nerwowy pojawia się w płytce motorycznej, acetylocholina zostaje uwolniona z formy związanej (natura tej formy nie jest jeszcze dokładnie zbadana) i przekazuje impuls do mięśnia, który do tej chwili pozostawał w stanie spoczynkowym. W czasie krótszym od jednej tysięcznej sekundy acetylocholina jest hydrolizowana do choliny i kwasu octowego przez acetylocholinoesterazę. Odtworzenie wspomnianej związanej postaci acetylocholiny odbywa się z udziałem acetylazy choliny. Kolejne uwolnienie acetylocholiny następuje po nadejściu następnego impulsu nerwowego. Cząsteczka acetylocholinoesterazy jest zdolna do rozszczepienia około 300 cząsteczek acetylocholiny w czasie milisekundy.

Związki fosforoorganiczne są zdolne do inhibicji acetylocholinesterazy, co prowadzi do akumulacji acetylocholiny i pojawienia się objawów endogennego zatrucia acetylocholinowego. Proces inhibicji enzymu zachodzi w trzech głównych etapach. Najpierw pochodna fosforowa odpowiedzialna za inhibicję przyłącza się do enzymu. Krótko później zachodzi podstawienie nukleofilowe, trwale wiążąc grupę fosforylową do centrum aktywnego esterazy. Na tym etapie inhibicji, pomimo pojawienia się trwałego wiązania, reaktywatory w rodzaju hydroksyloaminy i oksymów są zdolne do szybkiego usunięcia grupy fosforylowej z enzymu i przywrócenia jego aktywności. Prawdopodobnie na tym etapie fosforylacji enzymu zachodzą też reakcje dealkilacji na grupie fosforylowej [125]. Dotychczas nie ma ostatecznego wytłumaczenia ilościowych zależności powodujących jakościowe zmiany w tym procesie zatrucia. Daje się zauważyć niedostatek danych klinicznych i toksykologicznych, które mogłyby wyjaśnić procesy dealkilacji i transalkilacji występujące na tym etapie inhibicji. Pełniejsze omówienie alkilacji przedstawimy poniżej.

Jeśli żaden reaktywator nie zakłóci powyższego stadium przejściowego fosforylacji, następuje trzeci etap ( w czasie minut lub godzin, zależnie od typu związku fosforoorganicznego biorącego w tym udział) - proces transfosforylacji. Grupa fosforylowa migruje (w sposób jeszcze niepoznany) do cząsteczki seryny i wiąże się z nią. Wielu autorów określa ten etap "dojrzewaniem". Według innych dojrzewaniem jest proces dealkilacji [129,130]. Na tym etapie reaktywacja będzie zachodzić z wielką trudnością albo wcale nie zaistnieje. Jeden rodnik fosforylowy wystarczy dla zablokowania aktywności jednej cząsteczki cholinesterazy, podobnie jak i chymotrypsyny czy każdego innego enzymu blokowanego przez pochodne kwasu fosforowego. Ponieważ około 300 cząsteczek acetylocholiny jest rozszczepianych w czasie milisekundy przez jedną cząsteczkę cholinesterazy, oczywistym jest dlaczego znikoma ilość inhibitora fosforoorganicznego może wywołać katastrofalne skutki biochemiczne. Organizm oczywiście posiada liczne właściwe sobie możliwości przeciwdziałania takim zaburzeniom. W pewnym zakresie stężeń, w zależności od fenotypu, może skompensować znaczną część tych zaburzeń dzięki tzw. enzymom naprawczym [131-132].

Powyższy opis wymaga poszerzenia i kolejnego doprecyzowania w przypadku omawiania tzw. estrów Tammelina oraz V-gazów [128, 133,134]. Niemniej przedwczesne jest analizowanie opóźnionych schorzeń na bazie doświadczeń ze zwierzętami wykorzystujących substancje typu V-gazów. Nie należy obecnie spodziewać się publicznego udostępnienia wyników obserwacji medycznych pracowników i żołnierzy zajmujących się tego rodzaju chemikaliami, z powodu konieczności zachowania tajemnicy.

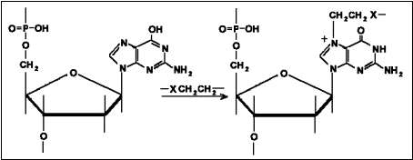
W powyższej dyskusji przedstawiliśmy związki fosforoorganiczne głównie jako trucizny dla enzymów, konkretnie inhibitory cholinoesterazy. Pominęliśmy więc bardzo ważny fakt o fundamentalnym znaczeniu dla wyjaśnienia powstawania opóźnionych schorzeń. Fakt ten często umyka uwadze albo jest traktowany marginalnie przez niemal wszystkich naukowców zajmujących się tą dziedziną. Mówimy tu o zdolnościach alkilujących związków fosforoorganicznych. Alkilowanie powinno być rozpatrywane jako alternatywna reakcja do fosforylowania, co przedstawia rysunek 5.1. Schemat reakcji fosforylowania przedstawiony poniżej obrazuje atak nukleofilu Y na atom centralny fosforu. Alkilowanie tymczasem polega na ataku nuklefila na węgiel w pozycji ??w reszcie estrowej. Zależnie od rodzaju estru fosforylowego i natury nukleofila, jak również od warunków reakcji, będą zachodzić reakcje fosforylowania albo alkilowania. Możliwe jest również, że obie te reakcje będą występować równocześnie w znaczącym stopniu [135].

Rysunek 5.1. Przypuszczalny mechanizm fosforylacji i alkilowania z udziałem estrów fosforoorganicznych



O ile fosforylowanie było obiektem wnikliwej analizy z powodu jego roli w inhibicji acetylocholinesterazy, w rozkładzie hydrolitycznym i detoksykacji, to alkilowanie rozpatrywano jedynie z punktu widzenia syntezy chemicznej.

Od czasu II wojny światowej biochemicy prowadzą szerokie badania nad biologicznymi aspektami alkilowania kwasów nukleinowych w związku z projektowaniem chemioterapeutyków cytostatycznych [58, 136]. Alkilowanie kwasów nukleinowych (niezbędnych dla procesów genetycznych) analizuje się jako podstawowy proces biologii molekularnej, w który zaangażowane są trucizny o działaniu mutagennym i/lub kancerogennym oraz teratogennym. Zagadnienie to było omawiane również w kontekście nienormalnej metylacji z udziałem odpowiednich donorów grup metylowych w genezie schizofrenii [137]. Dotyczy to jednak raczej specyficznych amin biogennych niż kwasów nukleinowych. W związku z tym trzeba wspomnieć, że liczne czynniki halucynogenne, na przykład meskalina, psylocyna i DMT, są metylowanymi pochodnymi neurohormonów występujących w mózgu, na przykład serotoniny, dopaminy i noradrenaliny. Na rysunku 5.3 przedstawiamy O- i N-metylację serotoniny i N-metylację dopaminy i tryptaminy.

Dla zaklasyfikowania biologicznie czynnych substancji alkilujących nie jest istotne czy występują one w postaci zdolnej do bezpośredniego alkilowania ("alkilanty bezpośrednie") czy wymagają przekształcenia metabolicznego do formy aktywnej ("alkilanty pośrednie") [70]. Środki alkilujące o znaczeniu biologicznym znajdziemy więc wśród wielu rodzajów chemikaliów - są nimi na przykład halogenki alkilowe, iperyty, epoksydy, siarczany dwualkilu, alkanosulfoniany alkilowe, dwuazoalkany, organiczne N-nitrozozwiązki, hydrazo- azo- i azoksy- alkany oraz trójazyny arylodwualkilowe. Dostępnych jest wiele danych eksperymentalnych o czynnikach alkilujących, jak też o ich molekularnym mechanizmie działania. Dlatego wydaje się dziwne, że alkilanty fosforoorganiczne zaniedbywano przez długie lata. Wytłumaczeniem może być to, że ich zdolność do alkilowania jest względnie słaba w porównaniu z innymi czynnikami tego rodzaju. Ponadto wymagają one ściśle określonych warunków reakcji.

Rysunek 5.2. Biologiczne konsekwencje alkilowania

Naukowcy badający pestycydy pierwsi wskazali na biologiczne konsekwencje działania alkilującego związków fosforoorganicznych. W swoich publikacjach skupili się głównie na problemach metabolicznych związanych z użyciem pestycydów. Löfroth ze Szwecji pierwszy wykazał (w doświadczeniach mikrobiologicznych z DDVP - 2,2-dwuchlorowinylo-dwumetylo-fosforan), że procesy alkilowania w przypadku insektycydów fosforoorganicznych mogą mieć daleko idące konsekwencje wskutek działania mutagennego [138]. Jego publikacje zyskały duży rozgłos oraz poważnych przeciwników. W każdym razie, zainicjowały intensywne badania nad DDVP - ważnym pestycydem stosowanym na całym świecie. Producenci tej ważnej klasy produktów handlowych byli oczywiście zainteresowani wyjaśnieniem kwestii zarzucanych im własności mutagennych. W przypadku gazów bojowych typu estrów fosforowych wykazano, że tylko V-gazy posiadają wyraźne własności alkilujące. Obecnie analizowane są mechanizmy ich działania oraz implikacje dla zwierząt stałocieplnych. Dzięki nowoczesnym technikom biochemicznym można już analizować dokładnie miejsca ataku alkilującego, co wcześniej nie było możliwe [139a, 139b, 140, 141]. W celu zbadania obrazu uszkodzeń powodowanych przez związki fosforoorganiczne prowadzi się badania anatomiczne. Kwestie te obszernie przedstawił Cavanagh w swoim przeglądzie [142].

Aspekty medyczne opóźnionych schorzeń wywoływanych związkami fosforoorganicznymi

Trzeba ponownie podkreślić, że oprócz opracowania Spiegelberga o psychopatologicznych i neurologicznych opóźnionych schorzeniach wywołanych wojskowymi chemikaliami fosforoorganicznymi [2, 50], wszystkie opublikowane dane dotyczą pochodnych kwasu fosforowego stosowanych jako pestycydy. Niemniej, jak zauważyliśmy już wcześniej, na podstawie podobieństwa chemicznego i toksykologicznego pestycydów fosforoorganicznych i gazów bojowych można budować dobrze uzasadnione uogólnienia. Z biologicznego i toksykologicznego punktu widzenia uszkodzenia zdrowia powodowane przez trucizny fosforoorganiczne można podzielić na kilka grup:

Grupa I:

Uszkodzenia zdrowia spowodowane przez acylowanie - tożsame z inhibicją cholinesterazy, konkretnie acetylocholinoesterazy.
Obraz kliniczny przedstawia objawy ostrego zatrucia

Grupa 2:

Uszkodzenia zdrowia spowodowane alkilowaniem - Tożsame z działaniem na kwasy nukleinowe (DNA) i/lub na aminy biogenne w centralnym układzie nerwowym.
Główne objawy kliniczne to opóźnione i chroniczne schorzenia centralnego układu nerwowego. Obejmują również symptomy wywołane działaniem teratogennym, mutagennym, rakotwórczym, hepatotoksycznym i hematotoksycznym.

Grupa 3:

Uszkodzenia zdrowia spowodowane przez różne, nie zidentyfikowane precyzyjnie, metabolity itp.
Główne objawy kliniczne to np. paraliż, impotencja, choroby oczu, częściowo w bezpośrednim związku z chorobami z grupy 2.

Podział ten jest czysto formalny. Obraz kliniczny rzeczywistego zatrucia związkami fosforoorganicznymi zawiera wszystkie z powyżej wymienionych objawów schorzeń występujące w różnym nasileniu. Nie można jeszcze określić proporcji między reakcjami fosforylacji i alkilacji in vivo w organizmie człowieka. Z tego powodu toksykologia kliniczna pozostaje obecnie na etapie pośredniego wnioskowania opartego o złożone objawy i rozwój zatrucia, uzależnione od indywidualnych warunków każdego przypadku.

W tym miejscu trzeba podać kilka ogólnych uwag. Z punktu widzenia medycyny w przypadku opóźnionych schorzeń niezbędna jest wiedza o pewnych okolicznościach:
* czy u chorego lub osoby badanej wystąpiły objawy ostrego zatrucia wywołanego daną trucizną lub jakimkolwiek związkiem toksycznym
* czy też wystąpiło zatrucie podostre w wyniku przyjmowania trucizny w niedostrzegalnych dawkach.

Obie te alternatywy trzeba brać pod uwagę; przy czym odnosi się to zarówno do zatruć związkami fosforoorganicznymi, jak i iperytem czy fosgenem.

Rozpoznawania opóźnionych schorzeń jest znacznie łatwiejsze dla lekarza, jeśli może zweryfikować niektóre szczegóły dotyczące np. ostrego zatrucia zaistniałego kilka lat wcześniej. Zadanie będzie znacznie trudniejsze, jeśli w oparciu o mgliste wyznania pacjenta próbuje stworzyć kompletny obraz efektów dawnych ekspozycji na trucizny. Sytuacja jest jeszcze bardziej skomplikowana w przypadku pracownika zatrudnionego w instytucji wojskowej. Mamy tu do czynienia z utajnieniem informacji, kodowymi nazwami gazów bojowych, co nie ułatwia rozpoznania przyczyn schorzenia.

Pierwsze badania epidemiologiczne w cywilnym przemyśle i agrotechnice wśród pracowników o długim stażu pracy w kontakcie z pestycydami zostały już opublikowane [143,144]. Wprawdzie przypadki cywilne nie są zagmatwane przez tajemnicę wojskową, ale inne czynniki mogą utrudniać rozpoznania przyczyn opóźnionych schorzeń. W czasie normalnego przebiegu pracy pojawiają się rozmaite możliwości zatrucia organizmu pracownika. Tylko niektórzy pracownicy pozostają w jednym miejscu pracy przez lata. Większość często zmienia stanowisko pracy. Ponadto proces technologiczny również zmienia się bardzo radykalnie. Dlatego pracownik zakładu produkującego pestycydy jednego dnia pracuje przy instalacji wytwarzającej DDT a następnego w dziale parationu. Po jednym lub dwu latach może on opuścić całkowicie zakład i zatrudnić się w zakładzie petrochemicznym albo wytwórni farmaceutyków. Tak długo, jak rejestry stanu zdrowia każdego z pracowników nie będą zawierały informacji o rodzaju i czasie trwania kontaktu z truciznami w tych branżach przemysłu (jak również ludzi pracujących w przemyśle zbrojeniowym i w wojsku) będzie naprawdę trudno rozpoznać związki przyczynowo-skutkowe między wypadkiem lub ekspozycją na truciznę a następstwami lub opóźnionymi schorzeniami pojawiającymi się po latach.

Wziąwszy powyższe pod uwagę, sprawne postępowanie medyczne i zapobiegawcze zależy od realizacji następujących działań:

1. Każde przypadkowe zatrucie powinno zostać wnikliwie zbadane epidemiologicznie. W związku z tym wszystkie znane formy zatrucia powinny zostać zbadane pod kątem możliwości wystąpienia opóźnionych schorzeń. W oparciu o te wyniki należy aktualizować wartości maksymalnych dopuszczalnych stężeń (MAC) i innych standardów stosujących się do pracy ze związkami biologicznie aktywnymi.

2. Dane toksykologiczne o chronicznych i ostrych zatruciach uzyskane z doświadczeń nad zwierzętami, również z długotrwałych eksperymentów, powinny zostać użyte do zbudowania klasyfikacji trucizn w formie tymczasowego zestawienia lub listy substancji szkodliwych [145].

Klasyfikacja trucizn powinna być weryfikowana jedynie jeśli uzyskamy niezbite dowody, że wyniki z doświadczeń na zwierzętach nie stosują się do ludzi odpowiednio.

Zastosowanie tych zasad, w różnym stopniu wymaganych prawem w niektórych krajach, umożliwi sprawdzenie pestycydów i wielu innych chemikaliów przemysłowych pod względem ich działania rakotwórczego i odpowiednie uszeregowanie w wykazach. WHO i IUAC opracowują wskazówki dla tego opracowania i zainicjowały międzynarodową współpracę naukową z centrum koordynacyjnym w Lyonie we Francji. Postępowanie takie jest niezbędne dla właściwego zrozumienia złożonej materii badań biomedycznych i wyników klinicznego leczenia przypadków zatruć. Aspekty toksykologiczne i problematyka prewencji nie mają tak silnego wpływu na myślenie ogółu jak na przykład przerażające oparzenia napalmem czy nieludzkie obrażenia rannych od kul dum-dum lub broni jądrowej. Pomniejsza to znaczenie ostrzeżeń artykułowanych przez osoby, które wspierają usiłowania zmierzające do całkowitego zakazu broni chemicznej. Trudności w rozpowszechnianiu danych o wielkości zagrożeń ze strony broni chemicznej i o objawach jej ostrego działania nie powinny powstrzymać działań dla poznania wszystkich aspektów chorób przez nie powodowanych. Po tej dygresji o sprawach podstawowych powróćmy do swoistego zagadnienia trucizn fosforoorganicznych.

Schorzenia psychopatologiczne i neurologiczne

Biologiczny mechanizm działania związków fosforoorganicznych wskazuje, że mogą one powodować, obok objawów ostrego zatrucia, uszkodzenia systemu nerwowego. Upośledzenie przewodzenia acetylocholinowego wskutek zahamowania aktywności cholinesterazy (w szczególności acetylocholinesterazy) prowadzi do rozlicznych zaburzeń, które nie ograniczają się wyłącznie do układu nerwowego. Nie wszystkie z tych zaburzeń mogą być w pełni i bez komplikacji skorygowane przez metaboliczne procesy autoregulacji i naprawcze organizmu.

Pomijając wyniki Smitha i wsp. z wczesnych lat 30'tych [146], którzy zaobserwowali działanie neurotoksyczne fosforanu orto-trójkrezylu i innych związków z tej grupy, pierwsze doniesienia o schorzeniach psychopatologiczno-neurologicznych powodowanych przez związki fosforoorganiczne pochodzą z roku 1950 (Rowntree, Nevin i Wilson) [147]. Badania eksperymentalne na zwierzętach prowadzono w późnych latach 40'tych i wczesnych 50'tych [148-150]. Bistrup, Bonell i Beckett opisali w 1953 zaburzenia umysłowe spowodowane podawaniem wysokich dawek atropiny [151].

W latach 50. Spiegelberg rozpoczął w RFN wyczerpujące studia opóźnionych schorzeń psychopatologicznych i neurologicznych obserwowanych u byłych pracowników zakładów zbrojeniowych zaangażowanych przy produkcji broni chemicznej dla Wehrmahtu [2,50]. Publikacje te przedstawimy dalej bardziej szczegółowo.

Dużą uwagę zyskał opublikowany w 1961 przez Gershona i Shawa artykuł pt. "Psychiatric Sequelae of Chronic Exposure to Organo-phosphorus Insecticides" [152]. Autorzy zdecydowali się dokonać analizy stanu zdrowia pracowników rolnych i agrotechników zatrudnionych na farmach w celu "... sprawdzenia czy w regionach, gdzie używane są insektycydy, można zauważyć zmienność sezonową lub geograficzną występowania chorób umysłowych oraz w celu określenia roli cholinesterazy i poziomu acetylocholiny w tych schorzeniach". Stwierdzili oni, że jakkolwiek jest wiele danych dotyczących objawów toksyczności, zarówno muskarynowych jak i nikotynowych, wpływ na centralny układ nerwowy nie jest dobrze poznany.

Zaobserwowali następujące objawy:
* Zawroty głowy, zmienność nastrojów
* Dzwonienie w uszach, oczopląs, stany gorączkowe
* Drżenie, ataksja
* Paraliże, zaburzenia czucia, porażenie nerwów
* Zaburzenia mowy: mowa niewyraźna, trudności w formułowaniu słów, zmiany wymowy, powtarzanie sylab, trudności w artykułowaniu myśli
* Uszkodzenia pamięci - trudności w przywoływaniu wspomnień
* Bezsenność
* Zmęczenie i słabość
* Ospałość
* Trudności z koncentracją
* Stan splątania: niepokój, nerwowość, lęki, drżenie, zaburzenia emocjonalne
* Depresja: płaczliwość wypowiedzi i bezsenność
* Reakcje schizofreniczne: rozszczepienie jaźni , lunatyzm i nadmierna senność, ucieczki

Ich obserwacje 16 przypadków chorobowych są podsumowane w tabeli 5.3:



Gershon i Shaw podsumowują swoje odkrycia następująco:

"... zaindukowane zostały tylko dwie choroby psychiczne: depresja i schizofrenia. Wskazuje to, że insektycydy tego rodzaju ujawniają skłonność do depresji i schizofrenii. Jest to przypuszczalnie rezultatem ich działania na cholinoesterazę. Możliwe więc, że procesy chorobowe są związane z antycholinoesterazowym działaniem chemikaliów na mózg. Przeciwny efekt - poprawę stanu schizofreników - osiąga się dzięki dożylnym iniekcjom acetylocholiny...

Wpływ na centralny układ nerwowy związków o udowodnionym działaniu antycholinoesterazowym sugeruje, że układ acetylocholina-cholinoesteraza jest niewątpliwie istotny dla funkcjonowania sieci nerwowej mózgu (aczkolwiek jego rola jeszcze nie została wyjaśniona). Mogą pojawić się zarzuty, że nasze wyniki są niereprezentatywne oraz że nie występuje korelacja między czasem ekspozycji i zmianami umysłowymi. Istotnie, wyniki nie zostały poddane analizie statystycznej i powstały w oparciu o całość społeczności. Niemniej jedna grupa wyróżnia się tu wyraźnie (technicy pracujący w szklarniach) pod względem częstości schorzeń - wystąpiły u 8 z 10 badanych...

... wśród 14 mężczyzn i 2 kobiet poddanych działaniu insektycydów fosforoorganicznych przez 1,5 do 10 lat zaobserwowano objawy schizofrenii i depresji wraz z ciężkim upośledzeniem pamięci i trudnościami w koncentracji."

Cytujemy szeroko Gershona i Shawa częściowo z powodu burzliwych dyskusji wywołanych przez ich publikację wśród naukowców pracujących w tej dziedzinie, a częściowo z zamiarem zrównoważenia wielu emocjonalnych reakcji społecznych na stosowanie pestycydów w nowoczesnej agrotechnice, które uznane zostało przez ekspertów za niezbędne i usprawiedliwione [153].

Stoller i wsp. kontynuowali badania Gershona i Shawa. W 1963 roku ukończyli drobiazgowe dochodzenie epidemiologiczne przy współpracy Statistical-Epidemiological Unit of the Mental Health Research Institute of Victoria [154]. Ich celem było "...zbadanie czy użytkowanie organofosforanów powoduje zagrożenie zaburzeniami psychiatrycznymi w porównaniu z terenami o małej skali ich użytkowania." Doszli do wniosku, że nie ma korelacji między rozwojem zaburzeń psychiatrycznych i użytkowaniem pestycydów fosforoorganicznych. Ich praca nie wyjaśnia oczywiście czy mieszkańcy miast i wsi objęci dochodzeniem mieli faktycznie styczność z chemikaliami fosforoorganicznymi używanymi w okolicy. Dlatego nie należy traktować tej publikacji jako podważającej wyniki Gershona i Shawa, jak czynią niektórzy z późniejszych autorów.

Istotnym wydaje się być stwierdzenie z artykułu "Organophosphorus Insecticides and Mental Alertness" opublikowanego przez Durham, Wolfe and Quinby [155]: " Wyniki badań są zgodne z powszechną opinią, że związki fosforoorganiczne mogą wpływać na działanie mózgu jeśli są przyjmowane w ilościach odpowiednio dużych do wywołania objawów klinicznych schorzeń ogólnoustrojowych. Nie zaobserwowano przypadków występowania wyłącznie zaburzeń umysłowych."

Według Reinla, autorytetu w medycynie przemysłowej, oprócz klasycznych objawów ważnymi klinicznymi przejawami przemysłowych zatruć fosforem są uszkodzenia serca i lekkie uszkodzenia nerek, zniszczenie układu krwiotwórczego i objawy zapalenia nerwów [156]. Pisze on: "Kiedy zauważymy, że efekty fizjopatologiczne wynikają z inhibicji cholinoesterazy, co oznacza zaburzenia w całym układzie enzymatycznym organizmu, to możemy spodziewać się wielopostaciowego obrazu klinicznego, ponieważ zagrożone są wszystkie organy, a szczególnie mózg."

W ostatnich latach prowadzono intensywne badania nad korelacją między uszkodzeniami centralnego układu nerwowego i inhibicją cholinoesterazy powodowaną przez ostrą i chroniczną ekspozycję na związki fosforoorganiczne. Przykładem mogą być opracowania Banksa i Russella [157] i badania kliniczne pilotów agrotechnicznych, rozpylających chemikalia, przeprowadzone przez Smitha, Stavinoha'a i Ryana [158] oraz przez Dille'a i Smitha (którzy dla jednego z przypadków podają również wyniki EEG) [159]. Namba i wsp.[160] oraz Davignon i wsp.[161] prowadzili badania nad wpływem chronicznego oddziaływania insektycydów fosforoorganicznych na ludzi.

W 1969 roku Aldridge, Barnes i Johnson zwięźle podsumowali swoje wieloletnie badania opóźnionej neurotoksyczności niektórych związków fosforoorganicznych [124] : "Jest oczywiste ... że szereg związków fosforoorganicznych przyjmowanych w małych dawkach posiada działanie neurotoksyczne. Wiadomo też, że wiele związków jest obojętnych."

W 1971 roku Clark tak posumował swój przegląd relacji zachowań i insektycydów fosforoorganicznych [162]:

"Niekonsekwencje i sprzeczności w sprawozdaniach o przypadkach ludzi narażonych na działanie insektycydów fosforoorganicznych, a w przypadku doświadczeń ze zwierzętami niejednorodność wyników wynikająca z niedokładności przy projektowaniu doświadczeń, sprawiają, że wszelkie wnioski i uogólnienia są przedwczesne. Wyjaśnienie możliwych dewiacji behawioralnych spowodowanych ekspozycją na insektycydy fosforoorganiczne będzie jeszcze wymagało wielu badań."

Dalsze omówienie wielkiej liczby (nadal częściowo kontrowersyjnych) publikacji o korelacjach między schorzeniami patopsychologicznymi i neurologicznymi u ludzi a użytkowaniem pestycydów przekracza ramy studium SIPRI. Ponadto dla niezależnego obserwatora nie zawsze możliwe jest rozróżnienie między rozważaniami czysto naukowymi i artykulacją interesów wielkiego przemysłu. Ze względu na niezwykłą wagę problemu zagrożeń wynikających z używania pestycydów, zagadnienie to będzie nadal pozostawać w centrum uwagi badaczy, podobnie jak równoległe badania nad opóźnionymi schorzeniami wywoływanymi przez gazy bojowe.

Artykuł "Studies on Exposure During the Use of Anti-cholinesterase Pesticides" opublikowany przez W. J. Hayes, Jr., [163] przedstawia wszystkie trudności i złożoność zagadnienia; m.in. rozmaitość czynników zewnętrznych warunkujących wchłanianie trucizn przez organizm, jego podatność na intoksykację i stosunkowo ograniczone możliwości ochrony. Autor omawia możliwe metody ilościowej oceny i przełożenia skali ekspozycji na ocenę dawki toksycznej. Dochodzi do następującej konkluzji (jednej z wielu) : "Wyrażenie ekspozycji na truciznę w postaci ułamka dawki toksycznej może być użytecznym, obiektywnym wskaźnikiem zagrożenia. Jednak z powodu wielości zmiennych należy traktować go jedynie jako wartość przybliżoną." Nie trzeba podkreślać, że broń chemiczna nastręcza znacznie większe trudności niż rozpatrywanie pestycydów, względnie łatwych do opanowania. Ponieważ Hayes i inni mieli możliwość przeprowadzania testów na ochotnikach, a w czasie II wojny światowej w Wlk.Brytanii doszło do takich testów również z bronią chemiczną, badacze ci mieli podstawy do autorytatywnego wypowiadania się o chemikaliach poddawanych próbom. Na marginesie warto tu coś zauważyć. W świetle zagrożenia opóźnionymi schorzeniami takie próby z udziałem ochotników powinny być w ogóle zabronione. Dotyczy to "klasycznych" broni chemicznych jak iperyt czy fosgen oraz związków fosforoorganicznych - wszelkich ważnych chemikaliów cywilnych i wojskowych. Wprawdzie uznajemy, że te eksperymenty dostarczają informacji ważnych dla ratowania ofiar zatrucia i dla opracowania odtrutek, jednak ciężar odpowiedzialności za ich konsekwencje dla ochotników byłby przytłaczający. Z uwagi na nieprzewidywalne zagrożenia opóźnionymi schorzeniami heroizm w tym wypadku wydaje się nie na miejscu. Można tu powołać się na debatę prowadzoną w USA o sprawie testowania pestycydów fosforoorganicznych na ludziach [164]. Z drugiej strony dyskusji na temat użycia w tym celu psów gończych przez Armię USA w Edgewood [165] nie można traktować poważnie.

Badania schorzeń psychopatologicznych i neurologicznych wśród byłych pracowników zakładów wytwarzających broń chemiczną dla Wehrmahtu (Spiegelberg) rozpoczęto z założeniem roboczym, że opóźnione schorzenia nie wiążą się ze związkami fosforoorganicznymi. Na podstawie wcześniejszych danych amerykańskich uważano za możliwe pełne wyleczenie przypadków lekkiego i umiarkowanego zatrucia gazami paraliżującymi [166-169]. Wymienieni autorzy albo całkowicie zignorowali albo zbagatelizowali kwestię opóźnionych schorzeń. Z publikacji nie wynika czy ich obserwacje dotyczą wyłącznie żołnierzy i pracowników zaangażowanych w powojennej produkcji broni chemicznej typu estrów fosforanowych, czy również obejmują personel zatrudniony w tych zakładach i magazynach podczas II wojny światowej.

Dotychczas opracowania poświęcone konkretnie opóźnionym efektom działania fosforoorganicznych trucizn bojowych są rzadkością w literaturze. Davies, Holland i Rumens [170] oraz Durham, Gaines i Hayes [171] z powodzeniem wykazali w badaniach na zwierzętach, że objawy neurotoksyczności obserwowane u drobiu traktowanego związkami typu gazów paraliżujących są w pewnym zakresie podobne do tych stwierdzanych u ludzi. Ponadto wykazano że, jak już wspomniano, określone grupy związków fosforoorganicznych są podobne zarówno pod względem budowy jak i reaktywności oraz sposobu działania. Kilka publikacji poświęconych bezpośrednio bojowym truciznom fosforoorganicznym potwierdza obserwacje poczynione dla innych związków fosforoorganicznych. Należy jednak zauważyć, że niezależnie od zasadniczych podobieństw w działaniu i przebiegu zatrucia DFP (fluorofosforan dwuizopropylowy) i Sarinem albo Amitonem i VX, rzeczywiste przypadki zatrucia mogą wskazywać na różnice funkcjonalne i strukturalne między toksynami. Wielkie różnice skuteczności preparatów odtruwających używanych w ostrych zatruciach wyraźnie to potwierdzają [172]. We wspomnianym wyżej studium Davies, Holland i Rumens z Chemical Defence Experimental Establishment (Porton, Anglia) zbadali korelację między strukturą chemiczną i neurotoksycznym efektem fosforanów alkilowych (tj. DFP, sarinu i pochodnych) oraz porównali je z fosforanami trójalkilowymi [170]. W 1960 roku sformułowali następujący ogólny wniosek

"Zagrożenie, jakie przedstawiają te substancje dla człowieka, jest trudne do oszacowania z powodu:

a) znanych różnic gatunkowych w reakcji na związki fosforoorganiczne

b) braku bezpośrednich dowodów neurotoksyczności dla ludzi związków fosforoorganicznych innych niż fosforan trój-o-krezylowy i Mipafox, tj. tlenek (bis-monoizopropyloamino)-fluorofosfiny. Obydwa zostały dokładnie zbadane na kurczakach. Okres opóźnienia, kliniczny charakter schorzeń, rozmieszczenie i charakter uszkodzeń histologicznych okazały się identyczne ze stwierdzonymi w przypadku Dyflos, tj. fluorofosforan dwuizopropylowy (DFP) i innych związków, których aktywność po raz pierwszy wykazano w tym opracowaniu. Z tego powodu powinniśmy przyjąć, że wszystkie związki fosforoorganiczne wykazujące działanie neurotoksyczne dla kurczaków będą w odpowiednich warunkach powodować neurotoksyczność u ludzi."

Bowers, Goodman i Sim opublikowali w 1964 roku badania na temat zmian behawioralnych u ochotników z armii amerykańskiej wywoływanych podawaniem pochodnych kwasu fosforowego (nazwa kodowa EA-1701 albo VX) podobnych do Sarinu. Po porównaniu wyników z rezultatami eksperymentów na zwierzętach i obserwacji pracowników produkcyjnych przemysłu fosforowego stwierdzili [173] : "Wydaje się zatem, że nadmiar wolnej endogennej acetylocholiny wywoływany podawaniem związków o działaniu antycholinoesterazowym prowadzi u ludzi do stanu zmienionej świadomości."

Ostatnio opublikowane dwa opracowania zrealizowane w Edgewood Arsenal przynoszą bardzo ważne informacje o klinicznych przypadkach zatrucia antycholinesterazowego [174,175]. Leczenie kliniczne było bardzo powolne, gdyż objawy psychiatryczne utrzymywały się przez wiele tygodni, a poziom cholinesterazy w osoczu powrócił do normy dopiero po kilku miesiącach. Zgodnie z naszym rozeznaniem, te dwie publikacje są, odpowiednio, pierwszym raportem o przypadkowej ekspozycji na te chemikalia i pierwszym raportem o eksperymentach z gazami VX z udziałem ochotników

W studium zatruć fosforanami alkilowymi Pasi i Leuzinger doszli do wniosku, że opóźnione schorzenia występują jedynie po ciężkim niedotlenieniu mózgu [176]. Z uwagi na zmiany anatomiczne w mózgu (demielinacja), takie opóźnione schorzenia podobne są do uszkodzeń w neuropatii obwodowej w przypadkach ciężkich i chronicznych zatruć fosforanem trój-o-krezylowym. Występują dla fosforanów alkilowych zawierających fluor (np. mipafox, DFP, sarin i soman). Opracowany przez ww. autorów przegląd 536 cywilnych przypadków zatruć fosforanami alkilowymi pozwolił im na stwierdzenie, że ostre zatrucie cywilnymi fosforanami alkilowymi nie powoduje opóźnionych schorzeń. Zauważyć trzeba jednak, że w świetle opracowań Spiegelberga i innych, zastosowany okres obserwacji wynoszący dwa do trzech lat nie był odpowiedni dla badania opóźnionych schorzeń.

Podsumowując tę część zacytujemy końcowe spostrzeżenia z monografii Spiegelberga (uwagi te nie odnoszą się wyłącznie do bojowych trucizn fosforoorganicznych) [2]:

"W wyniku systematycznych badań byłych pracowników zakładów produkcji i badania broni chemicznej dla Wehrmahtu, stwierdzono występowanie opóźnionego zespołu schorzeń psychiatrycznych. Pod względem częstości występowania można wyróżnić dwie grupy symptomów, a w każdej grupie cztery oddzielne objawy lub oznaki.

1) Znaczna większość badanych osób cechuje się:
a) Trwale obniżoną witalnością, której towarzyszy znaczące zmniejszenie popędu;
b) Upośledzoną regulacją autonomiczną prowadzącą do bólu głowy, objawów żołądkowo-jelitowych i sercowo-naczyniowych, przedwczesnego obniżenia libido i potencji;
c) Objawami nietolerancji (na alkohol, nikotynę i leki);
d) Wrażeniem przedwczesnego starzenia.

2) Ponadto spotyka się jeden lub więcej spośród symptomów drugiej grupy:
a) Depresyjne lub subdepresyjne zaburzenia funkcji życiowych;
b) Ataki zaniku czynności mózgowych (omdlenia);
c) Słabe i umiarkowane objawy amnezji i demencji;
d) Lekkie uszkodzenia organoneurologiczne (najczęściej mikrosymptomy i pojedyncze objawy o charakterze pozapiramidowym).

Nasze wyniki stanowią wkład do rozpoznania ogólnego problemu opóźnionych i chronicznych schorzeń spowodowanych przez zatrucia przemysłowe. Na podstawie naszych badań nad etiologicznie zróżnicowanymi objawami zatrucia przypuszczamy, że możliwe jest występowanie względnie jednorodnego, chociaż równie niespecyficznego, zespołu opóźnionych schorzeń."

Schorzenia wątroby i układu krwiotwórczego

Miąższowe uszkodzenia wątroby wywołane związkami fosforoorganicznymi zostały opisane przez Maruyama już w 1954r (cytowane w [160]) i Marescha w 1956 [177]. W kolejnych latach literatura odwołuje się do efektów hepatotoksycznych głównie w kontekście pestycydów fosforoorganicznych [160, 178-181].

W 1963 roku Spiegelberg napisał, odwołując się do swoich badań pracowników zakładów wytwarzających CW [50]: "Wprawdzie wszystkie dotychczas zbadane przypadki zatrucia gazem paraliżującym wykazują uszkodzenia wątroby, jednak nie można jeszcze wyprowadzić ostatecznych wniosków. Mogą występować powiązania patogenetyczne. Istnieją analogie do soczewkowatego zwyrodnienia wątroby (zespołu Wilsona) i do ostatnio opisanych zmian psychicznych w przypadkach marskości wątroby..."

Na podstawie doświadczeń na zwierzętach W. Domschke i G.F. Domagk wnioskują, że gaz bojowy Soman posiada zdolność indukcji biosyntezy enzymów w wątrobie, jakkolwiek niespecyficznej dla poszczególnych enzymów wątrobowych [179]. W 1971 roku na podstawie badań mechanizmu uszkodzenia komórek wątroby przez fosforany alkilowe S. Domschke, W. Domschke i M.Classen stwierdzili, że: "...działanie fosforanów alkilowych uszkadzające wątrobę... jest uważane za pośrednie i interpretowane (podobnie jak niewydolność oddechowa) jako rezultat ogólnego niedotlenienia wywołanego inhibicją cholinoesterazy, co również oddziałuje na wątrobę" [180]. Gibel i wsp. opublikowali w 1971 i 1973 wyniki doświadczeń na zwierzętach dotyczących hepatotoksycznego działania Trichlorphonu i Dimethoatu [181], które częściowo potwierdzają podejście prezentowane w wyżej wymienionej pracy. Możliwość udziału istotnych biochemicznie procesów alkilacji również wspiera ich tezę . Powrócimy do wyników Gibel i wsp. w związku z własnościami hematotoksycznymi i kancerogennymi związków fosforoorganicznych.

Działanie hematotoksyczne związków fosforoorganicznych stało się znane na dość wczesnym etapie badań. Już w 1956 Reinl stwierdził, że zatrucie E-605 (Parathion) może prowadzić do uszkodzeń szpiku kostnego [156]. Równocześnie podkreślił oczywiście konieczność prowadzenia dalszych obserwacji. W 1971 Namba i wsp. nadal utrzymywali, że wpływ hematotoksyczny insektycydów fosforoorganicznych, głównie związany z koagulacją, jest zaniedbywalny i ograniczony do kilku izolowanych przypadków [160]. Ten punkt widzenia podtrzymują v.Kaulla i Holmes [182]. W USA fosforoorganiczny insektycyd Parathion (O,O-dwuetylo-O-p-nitrofenylo- tiofosforan) został wymieniony w tablicach półrocznych z 1965 roku przez Panel on Hematology of the Registry on Adverse Reactions of the American Medical Association's Council of Drugs jako substancja o udowodnionych własnościach hematotoksycznych [183]. W 1971 roku Klimmer w swojej monografii (odmiennie wobec innych monografii dotyczących insektycydów i pestycydów) przedstawił również możliwość posiadania właściwości hematotoksycznych przez związki fosforoorganiczne [121]. W 1972 Reizenstein i Lagerlöf przedstawili wyniki długotrwałych badań pracowników agrotechnicznych, u których przede wszystkim wskutek pracy z pestycydami fosforoorganicznymi, wystąpiła wyraźna leukocytoza [184]. W studium nad chronicznym wpływem insektycydów Davignon i wsp. wykazali również obecność objawów hematotoksyczności, takich jak leukopenia [161].

W ostatnich latach podczas badań własności onkogennych pewnej grupy pestycydów fosforoorganicznych, Gibel i wsp. zwrócili też uwagę na działanie hematotoksyczne tych substancji [181]. Zaobserwowali znaczny rozrost czerwonego szpiku kostnego - dotyczący w różnym stopniu wszystkich trzech układów tworzenia krwinek (erytropoezy, granulocytopoezy, megakariocytopoezy). Stwierdzili też występowanie pozaszpikowej metaplazji, głównie w wątrobie i śledzionie, u 34 do 59 procent badanych zwierząt którym podawano, odpowiednio, Trichlorphon i Dimethoate. Oprócz tego obserwowali, z różną częstością występowania, leukocytozę (głównie granulocytozę) krwi obwodowej. Wyraźną leukocytozę stwierdzono u 33 % grupy zwierząt traktowanych Trichlorphonem i u 22% traktowanych Dimethoate'm. (Infekcje, szczególnie zapalenie płuc, jako przyczyna leukocytozy zostały wykluczone na podstawie badań histologicznych). Na podstawie tych wyników zdiagnozowali u wielu badanych zwierząt przerost wszystkich elementów szpiku z częściowo towarzyszącą metaplazją szpikową podobną do syndromu mieloproliferacyjnego( u ludzi. Wtórna lub objawowa postać to przewlekła białaczka szpikowa, pojawiająca się po przejściowym stadium przedleukemialnym. Zmiany mieloproliferacyjne jednoznacznie wskazują na poważny wpływ hematotoksyczny użytych związków fosforoorganicznych.

Nadszedł więc najwyższy czas, aby zbadać własności hematotoksyczne innych związków fosforoorganicznych oraz uszeregować je odpowiednio. Z uwagi na pilną potrzebę oszacowania bieżących zagrożeń powinny zostać ujawnione badania dotyczące zmian hematologicznych u pracowników zatrudnionych przy produkcji broni chemicznej typu estrów fosforanowych podczas i po zakończeniu II wojny światowej. Odnosi się to również do pozostałych obserwacji diagnostycznych i klinicznych poczynionych w zakładach produkcyjnych broni chemicznej.

Choroby nowotworowe, mutageneza i teratogeneza spowodowane związkami fosforoorganicznymi

Zagadnienie własności kancerogennych i dziedzicznych zmian powodowanych przez bojowe środki trujące omawiana jest w literaturze od czasów I wojny światowej. Zajmuje się nim też prasa codzienna, chociaż na mniej zaawansowanym poziomie. Dyskusje i przypuszczenia wyszły jednak daleko poza granice stwierdzonych faktów; przyczyniło się to do obecnego niezadowalającego stanu rzeczy. Doszło do zamieszania w decyzjach o porzucaniu lub zamawianiu Dopuszczono się zaniedbań w realizacji koniecznych badań eksperymentalnych; próbowano umniejszać znaczenie rezultatów badań klinicznych w celu ukrycia związków przyczynowo-skutkowych z bojowymi środkami trującymi. Tym niemniej przez lata stworzono wielki zbiór niepodważalnych dowodów znacząco częstszego występowania nowotworów u osób mających kontakt z "klasycznymi" broniami chemicznymi - a szczególnie z substancjami o własnościach alkilujących, takimi jak iperyt. [53, 78].

Nie pojawiła się jeszcze publikacja na temat częstości występowania raka u pracowników i żołnierzy pracujących z bojowymi truciznami fosforoorganicznymi. Kilka prac, które w ogóle uwzględniają przypuszczalny związek rozwoju nowotworów ze skutkami działania broni chemicznej, traktuje środki CW jako całość. Nie wyróżniają rozmaitych substancji lub klasyfikują je z punktu widzenia medycznego. Jedynie A.Weiss we wspomnianej poprzednio pracy z lat 1951-53 daje pierwsze konkretne podstawy do powiązania rozwoju raka z ekspozycją na bojowe trucizny fosforoorganiczne. Zastrzega on jednak, że bardzo mała liczba zbadanych pacjentów nie pozwala na wyciąganie ostatecznych wniosków. Dlatego do chwili obecnej przy każdej próbie oceny relacji między nowotworami i związkami fosforoorganicznymi musimy posługiwać się wynikami doświadczeń na zwierzętach. Badania te są tym pilniej potrzebne, jeśli zważyć na praktyczne znaczenie wielkiej liczby estrów fosforoorganicznych w rolnictwie, medycynie, weterynarii i licznych gałęziach przemysłu. Efekty uboczne stosowania tej klasy substancji nie mogą być dalej traktowane jako ciekawy problem naukowy. Powinny stać się podstawowym zagadnieniem medycyny zapobiegawczej [185].

Jak już wspomniano, prawidłowe oszacowanie działania biologicznego związków fosforoorganicznych wymaga wzięcia pod uwagę również własności alkilujących, obok ich własności fosforylowania. Nie wyklucza to oczywiście możliwości, że inne cechy również mogą być istotne dla biologicznego obrazu funkcjonowania tych chemikaliów. W większości znanych dotychczas prac nad czynnikami alkilującymi uzasadniano prawdopodobieństwo istnienia związku działania kancerogennego i mutagennego ze zdolnością chemikaliów do alkilowania. Pierwsze badania kancerogenezy z udziałem Trichlorphonu i Dimethoate'u wykonali Gibel i wsp. [181]. Wprawdzie w swoich eksperymentach na zwierzętach nie używali trucizn bojowych, jednak uważają swoje wyniki za podstawę do stwierdzenia podwyższonego ryzyka zapadalności na raka u pracowników przemysłu fosforoorganicznego. Konkludują:

"Dowody hepatotoksyczności i hematologiczne oraz rozwój łagodnych i złośliwych nowotworów zmuszają do rewizji dotychczasowych poglądów. (Trichlorphon i Dimethoate, podobnie jak wiele pestycydów fosforoorganicznych, ze względu na względnie szybką hydrolizę tych związków w organizmach stałocieplnych uważano za nieszkodliwe z punktu widzenia długookresowych oddziaływań biologicznych.) Co więcej, radziecki zespół pracujący nad pestycydami typu alkilowanych fosforanów z powodzeniem wykazał ich wpływ teratogenny. Teraz pozostaje zbadać zdolności alkilujące podobnych pestycydów alkilofosforowych i alkilofosfonowych w celu zdobycia szczegółowych informacji o biochemicznym mechanizmie alkilowania, tak samo jak w przypadku alternatywnej reakcji fosforylacji. Pozwoli to wyjaśnić zależności między budową chemiczną, reaktywnością i działaniem rakotwórczym. Znajomość tej zależności to nie tylko teoretyczne zagadnienie problemu kancerogenezy; umożliwi ona prawidłową ocenę możliwych zagrożeń, a tym samym praktyczną profilaktykę przeciwnowotworową. W tym świetle badania przy użyciu Trichlorphonu i Dimethoate wydają się decydujące dla optymalizacji ochrony zdrowia i bezpieczeństwa pracy w warunkach bezpośredniego kontaktu z takimi pochodnymi alkilofosforowymi - przy ich produkcji, w rolnictwie i przy utrzymaniu higieny."

Publikacja Löfrotha [138] o mutagennych własnościach pestycydów fosforoorganicznych zyskała dużo większe zainteresowanie od innych przedstawiających rakotwórcze działanie związków fosforoorganicznych. Jak wcześniej zauważyliśmy, wyniki badań Löfrotha na mikroorganizmach były ostro atakowane przez przemysł pestycydów z powodu użycia stosunkowo dużych stężeń. Jednak badania prowadzone w nadziei podważenia jego wyników dotychczas nie osiągnęły celu. Badania te okazały się o tyle wartościowe, że zastymulowały podjęcie szerokich studiów nad własnościami alkilującymi fosforanów alkilowych i ich biologicznymi konsekwencjami [186, 187]. W świetle badań Löfrotha, Dyer i Hanna z Monash University w Australii podnieśli ostatnio kwestię zakazu stosowania pestycydów fosforoorganicznych [188]. Trzeba jednak tu zauważyć, że wykluczenie całej klasy związków byłoby "wylaniem dziecka z kąpielą". Problem insektycydów fosforoorganicznych, w odróżnieniu od bojowych trucizn tego typu, musi być rozwiązany w sposób zapewniający zachowanie równowagi między zapotrzebowaniem na nie w rolnictwie i higienie a znanymi już zagrożeniami dla ludzkiego zdrowia.

W kwestii wpływu teratogennego pestycydów fosforoorganicznych na zwierzęta przeprowadzono jedynie nieliczne badania eksperymentalne [160]. Niewiele jest doniesień dotyczących wpływu na człowieka [189, 190].

Schorzenia okulistyczne

W czasie ostatnich 25 lat wiele związków fosforoorganicznych miało zastosowanie terapeutyczne w oftalmologii, np. jako środki zwężające źrenicę oka. Najbardziej znanymi lekami tego rodzaju są fluorofosforan dwuizopropylu (DFP) i fosforan O,O-dwuetylo,O-p-nitrofenylowy (Paraoxon), obydwa silnie trujące i podobne do bojowych trucizn fosforoorganicznych. Znane są przypadki uszkodzeń oczu wynikłe z użytkowania tych i im podobnych lekarstw [190].

W ostatnich latach w Związku Radzieckim i w Japonii uzyskano ważne dane na temat uszkodzeń oczu wywołanych pracą ze związkami fosforoorganicznymi lub ich zastosowaniem w rolnictwie [191, 192]. Badania radzieckie objęły 1995 pracowników i 2272 studentów. Japońska praca dotyczyła skutków lotniczych oprysków pestycydami fosforoorganicznymi (Parathion, Malathion, EPN, Sumithion, i innych) na terenach upraw owocowych. Przedstawia wyniki obserwacji dla grupy 71 dzieci w wieku od 4 do 16 lat. Ponieważ obserwacje te udało się potwierdzić w eksperymentach na psach, którym aplikowano związki fosforoorganiczne, autorzy wnioskują, że badany syndrom jest efektem chronicznego działania tych chemikaliów. Wśród objętych obserwacją stwierdzono:


Autorzy stwierdzają, że powyższe zaburzenia wydają się wynikać ze zmian patologicznych naczyniówki, mięśnia zwieracza źrenicy, zwoju rzęskowego, mięśnia rzęskowego, jądra pomocniczego, dróg piramidowych i grzbietowej części rdzenia kręgowego - gdzie cholinoesteraza wykazuje wyższą aktywność niż w innych organach. Te uszkodzenia oczu są dowodem nowego rodzaju szkodliwego wpływu związków fosforoorganicznych na zdrowie - niewyjaśnionego przy obecnym stanie wiedzy o mechanizmie biochemicznym ich oddziaływania - i podkreślają konieczność dalszych badań. Wyjaśnienie sposobu działania tej ważnej klasy związków pozostaje celem przyszłych badań.

Podsumowanie i Konkluzje

Przedstawione tu koncepcje można podsumować następująco:

1) Większość środków stosowanych jako broń chemiczna jest odpowiedzialna nie tylko za ostre zatrucia, ale też za schorzenia opóźnione. Dotyczą one zarówno osób, które przeżyły ostre zatrucie, jak i tych, które doświadczyły podostrych (a nawet niezauważalnych) zatruć.

2) Główne opóźnione schorzenia przyjmują formę:
a) Zmian patopsychologicznych i neurologicznych
b) Nowotworów złośliwych (raka)
c) Zwiększonej podatności na choroby zakaźne (głównie płuc i górnych dróg oddechowych)
d) Zaburzeń funkcji wątroby
e) Zmian patologicznych krwi i szpiku kostnego
f) Uszkodzeń oczu
g) Przedwczesnego obniżenia witalności, szybkiego starzenia i właściwych temu zaburzeń funkcjonalnych, np. zanik potencji i libido.

3) Obok tych defektów neurologicznych i specyficznych zaburzeń narządowych, należy wziąć pod uwagę wpływ mutagenny na organizm ludzki (chociaż nie jest to jeszcze ostatecznie udowodnione). Występowanie efektów teratogennych i embriotoksycznych u ludzi (również nie do końca udowodnione) jest wysoce prawdopodobne.

4) Wszystko, co powiedziano o bojowych środkach trujących, stosuje się również do wielu substancji podobnych do nich pod względem budowy i działania. Związki te mają znaczenie naukowe i praktyczne jako produkty uboczne lub substancje "modelowe".

5) Biochemiczny mechanizm powstawania opóźnionych schorzeń nie jest jeszcze zbadany ani dla broni chemicznych ani dla podobnych im związków. W kilku przypadkach, gdzie uzyskano dokładne dane, badania nadal nie są ukończone.

6) Nie opracowano jeszcze metod profilaktyki i terapii opóźnionych schorzeń powodowanych przez broń chemiczną. Oznacza to, że styczność z tymi truciznami - nie ważne, jak ograniczona - podczas ich produkcji, magazynowania lub stosowania grozi niedostrzegalnym zatruciem, które może po upływie czasu spowodować którekolwiek z wymienionych wyżej lub podobnych schorzeń. Zatem ryzyko ciężkiego upośledzenia zdrowia dotyczy nie tylko ofiar ataku bronią chemiczną, ale wszystkich zajmujących się wytwarzaniem tych chemikaliów lub przygotowaniem ich do użycia.

Na podstawie powyższych faktów można wyciągnąć następujące wnioski /zaproponować pewne działania:

1) Zagrożenia związane z bronią chemiczną nie mogą być opisane wyłącznie w kategoriach zatruć ostrych

2) Opublikowane obserwacje z obu wojen światowych należy przeanalizować pod kątem chorób, które na pewno lub przypuszczalnie można zaliczyć do opóźnionych schorzeń. Ponadto należy odtajnić rezultaty badań, obecnie niedostępne, a szczególnie te dotyczące pracy w zakładach wytwarzających broń chemiczną i składach broni. Ujawnione materiały powinny zostać zdeponowane w WHO i zbadane przez zespół ekspertów w sposób gwarantujący poszanowanie etyki lekarskiej.

3) Cywilne trucizny powinny zostać uwzględnione w pracach nad bronią chemiczną, ze względu na podobieństwo strukturalne i funkcjonalne. Dotyczy to zwłaszcza pestycydów fosforoorganicznych, niektórych karbaminianów i wielu farmaceutyków, przede wszystkim psychofarmaceutyków. Wyniki tego rozszerzonego dochodzenia mogą przyczynić się do poprawy warunków i bezpieczeństwa pracy w sferze cywilnej gospodarki.

4) Bezpieczeństwo osobiste oraz planowane metody rozbrojenia (a w szczególności zakaz produkcji, magazynowania i używania broni chemicznej) wymagają, aby pracownicy i naukowcy zatrudnieni w przemyśle chemicznym posiadali międzynarodowe świadectwo zdrowia. Oprócz informacji o rodzaju i czasie pracy z chemikaliami, powinno ono zawierać aktualizowany na bieżąco zapis stanu zdrowia -przebyte choroby, infekcje, wypadki, operacje chirurgiczne, transfuzje krwi, szczepienia, itp.

5) Wszystkie chemikalia bezpośrednio lub pośrednio związane z bronią chemiczną powinny być obowiązkowo oznakowane. Opis powinien zawierać informacje o własnościach fizykochemicznych danej substancji, wraz z każdym przypisanym jej znanym lub przypuszczalnym zagrożeniem opóźnionymi schorzeniami.

6) Należy podjąć starania dla uzyskania międzynarodowego zakazu badań toksykologicznych z udziałem ochotników, niezależnie od motywów tych badań i rodzaju ochotników.

7) Następujące projekty badawcze są niezmiernie istotne dla wyjaśnienia przyczyn i zbadania sposobów leczenia opóźnionych schorzeń:
* Poznanie metabolizmu trucizn bojowych, włącznie z analizą ich głównych, pośrednich i ubocznych produktów w organizmie człowieka, zwierząt i roślin w określonych warunkach środowiska. Badania na ludziach mogą być dopuszczalne wyłącznie w postaci uzasadnionego leczenia zatruć.
* Poznanie zależności między strukturą i działaniem trucizn bojowych i podobnych do nich substancji w odniesieniu do mechanizmów reakcji, takich jak alkilowanie i starzenie się inaktywowanych enzymów, co może mieć znaczenie dla kwestii opóźnionych schorzeń.
* Badania epidemiologiczne i katamnestyczne na grupach pracowników przemysłu chemicznego, o których wiadomo, że pracują z chemikaliami bezpośrednio lub pośrednio związanymi z bronią chemiczną. Szczególną uwagę należy zwrócić na choroby układu oddechowego, wątroby, układu krwiotwórczego, układu trawiennego i nerwowego; ponadto badania płodności, występowania raka i wszelkich wad wrodzonych u dzieci.
* Intensyfikacja badań nad odtrutkami; z uwzględnieniem wykorzystania ich do znoszenia ostrych objawów i dla zapobiegania powstaniu opóźnionego zatrucia. Należy również zwrócić uwagę na ryzyko wywołania opóźnionych schorzeń przez lek odtruwający - przykładem takiego zagrożenia jest stosowane obecnie w zatruciu estrami fosforanowymi antidotum (pochodne metanosulfonianowe i jodku metylu aldoksymu pirydyny).

Literatura

1. The Problem of Chemical and Biological Warfare, Vols. 1-6. Stockholm: Almqvist &Wiksell, 1971-75, Stockholm International Peace Research Institute.
2. Spiegelberg, U., "Psychopathologisch-neurologische Schäden nach Einwirkung synthetischer Gifte" in Wehrdienst und Gesundheit, Vol. III. Darmstadt: Wehr und Wissen Verlagsgesellechaft mbH, 1961.
3. Boffey, P. H., "Nerve gas: Dugway accident linked to Utah sheep kill", Science 162 1460-64 (1968).
4. Gilchrist, H. L., "A Comparative Study of World War Casualties from Gas and other Weapons", Edgewood Arsenal Paper. Washington: US Government Printing Office, 1928.
5. Gillert, E., Die Kampfstoffverletzangen, 11th and 12th eds, Berlin and Vienna: Verlag Urban und Schwarzenberg, 1944.
6. Flury, F. and Zernik, E., Schädliche Gase, Dämpfe, Nebel, Rauch- und Staubar ten.. Berlin. Springer-Verlag, 1931.
7. Muntsch, O., Leitfaden der Pathologie und Therapie der Kampfgaserkrankungen, 6th ed. Leipzig: Georg Thieme, 1941.
8. Health Aspects of Chemical and Biological Weapons, Report of WHO Group of Consultants (Geneva, 1970).
9. Henschler, D., "Ätiologie, Pathogenese und Grundlagen der Therapie toxischer Lungenödeme", Katastrophenmedizin No. 4, 9-14 (1966).
10. Ehrlicher, H., "Reizgasvergiftungen", Zentr. Arbeitsmed. Arbeitsschutz 14 (11) 260-65 (1964).
11. Galdston, M., Leutscher, J.A., Longcope, W.T. and Ballich, N.L., "A Study of the Residual Effects of Phosgene Poisoning in Human Subjects. I. After Acute Exposure", J. Clin. Invest. 26 145-68 (1947).
12. Veil, W. H. and Sturm, A., Die Pathologie des Stammhirns. Jena: Gustav Fischer Verlag, 1942.
13. Kehoe, R. A., "Pulmonary Irritants", Bull. N. Y. Acad Med. 19 340-55 (1943).
14. Minkowski, O., "Die Erkrankungen durch Einwirkung giftiger Gase" in Hand-buch der ärztlichen Erfahrungen im Weltkriege 1914/1918. Innere Medizin, Vol. III, pp. 340-83, L.v. Krehl, ed. Leipzig: Johann Ambrosius Barth Verlag, 1921.
15. Ricker, G., "Beiträge zur Kenntnis der toxischen Wirkung des Chlorkohlenoxyd-gases (Phosgen)" in Sammlung klinischer Vorträge von Volkman, Vol. 13, pp. 727-811. Leipzig: Johann Ambrosius Barth Verlag, 1914-19.
16. Petri, E., "Pathologische Anatomie und Histologie der Vergiftungen" in Hand-buch der speziellen pathologischen Anatomie und Histologie, Vol. 10, especially pp. 114-30. Berlin: Springer-Verlag, 1930.
17. Pentschew, A., "Intoxikationen" in Handbuch der speziellen pathologischen Ana-tomie und Histologie, Vol. 13, Part 2, Section B, pp. 1907-2502. Berlin: Springer-Verlag, 1958.
18. Rothlin, E., "Pathogénie et Thérapeutique de l'intoxication par le Phosgene", Schweiz. Med. Wochschr. 71 1526-35 (1941).
19. Rothlin, E., "Über Yperiterfahrungen bei Mensch und Tier", Schweiz. Med. Wochschr. 72 385-88 (1942).
20. Rothlin, E., "Ergebnisse tierexperimenteller Untersuchungen über den Vergif-tungsverlauf nach Phosgen und Yperit", Schweiz. Med. Wochschr. 73 12-10 (1943).
21. Tobias, J.M., Postel, S., Patt, H.M., Lushbaugh, C.C., Swift, M.N., and Gerard, R.W., "Localization of the Site of Action of a Pulmonary Irritant, Diphosgene", Am. J. Physiol. 158 (2) 173-83 (1949).
22. Wickstrom, G., "Arsenic in the Ecosystem of Man-a Review", Work Environ. Health 9 2-8 (1972).
23. Martinius, J., "Über die toxische Beständigkeit arsenhaltiger Reizkampfstoffe", Arch. Toxicol. 17 210-13 (1958).
24. Neilands, J.B., "Survey of Chemical and Related Weapons of War", Natur-wissenschaften 60 177-83 (1973).
25. Müller, U., "Eigenschaften und Wirkungsweise von Lost", Doctoral disserta-tion, University of Erlangen-Nürnberg, 1971.
26. Dixon, M., and Needham, D.M., "Biochemical Research on Chemical Warfare Agents", Nature (London) 158 432-38 (1946).
27. Johnstone, R.M., "Sulfhydryl Agents: Arsenicals" in Metabolic Inhibitors, Vol. II, pp. 99-118, R.M. Hochster and J.H. Quastel, eds. New York and London: Aca-demic Press, 1963.
28. Peters, R.A., "Biochemical Research at Oxford upon Mustard Gas", Nature (Lon-don) 159 149-51 (1947).
29. Satterlee, A., "The Arsenic Poisoning Epidemic of 1900", New Engl. J. Med. 263 676-84 (1960).
30. Bauer, K.H., Das Krebsproblem, 2nd ed. Berlin, Göttingen and Heidelberg: Springer-Verlag, 1963.
31. Vogel, F., Röhrbom, G., Schleierrnacher, E., and Schröder, T.M., "Mutationen durch chemische Einwirkung bei Säuger und Mensch", Deut. Med. Wochschr. 92 (1967).
32. Amalric, P., Bessou, P., and Farenc, M., "Late Recurrence of Keratitis Caused by Mustard Gas", Bull. Soc. Ophtalmol. France 65 101-106 (1965).
33. Chiesman, W.E., "Diagnosis and Treatment of Lesions due to Vesicants (Di-chloroethyl Sulfide and Dichlorovinylarsine)', Brit. Med. J. 2 109-12 (1944).
34. Chusid, J.G., and Marquardt, G.H., "Onset of Guillain-Barré Syndrome Follow-ing Exposure to Mustard Gas (Dichloroethyl Sulfide)", Arch. Neurol. Psychiat. 55 57-58 (1946).
35. Hanssen, O.E., "Relation between Direct and Indirect Action in Local Lesions Caused by Dichloroethyl Sulfide", Acta. Path. Microbiol. Scand. Suppl. 91 48-50 (1951).
36. Heully, F., "Mass Intoxication due to Explosion of Shell Containing Dichlo-roethyl Sulfide Dating back to World War I", Ann. Med. Legale Criminol. Police Sci. Toxicol. 36 195-204 (1956).
37. Morgenstem, P., Koss, F.R., and Alexander, W.W., "Residual Mustard Gas Bronchitis; Effects of Prolonged Exposure to Low Concentrations", Ann. Internal Med. 26 27-40 (1947).
38. Hellmann, W., "Klinisch-genetische Untersuchungen an Familien von durch N- und S-Lost chemisch gewerblich Geschädigten", Doctoral dissertation, Uni-versity of Marburg, 1970.
39. Flury, F., and Wieland, H., "Über Kampfgasvergiftungen. Vll. Die pharmako-logische Wirkung des Dichloräthylsulfids (Thiodiglykolchlorid, Gelbkreuzstoff, Senfgas, Yperit, Lost)", Z. Ges. Exp. Med. 13 367-483 (1921).
40. Lohs, Kh., Synthetische Gifte, 4th ed. Berlin: Militärverlag der Deutschen Demo-kratischen Republik, 1974.
41. Stiefler, G., "Striärer Symptomenkomplex einer im Felde erlittenen Gasvergif-tung", Z. Neurol. Psychiat. 81 142-57 (1923).
42. Lewin, L., Gifte und Vergiftungen, 5th ed., (reprint). Ulm: K.F. HaugVerlag, 1962.
43. Grant, W.M., Toxicology of the Eye. Springfield, lllinois: Charles C. Thomas, Publishers, 1962.
44. Hoffmann, D.H., "Schädigungen des Auges durch Nahschüsse aus Tränengas-waffen", Monatsbl. Augenheilk. 147 625-42 (1965).
45. Hoffmann, D.H., "Eye Burns Caused by Tear Gas", Brit. J. Ophthalmol. 51 265-68 (1967).
46. Berens, C., and Hartmann, E., "The Effects of War Gases and Other Chemicals on the Eyes of the Civilian Population", Bull. N. Y. Acad. Med. 19 356-67 (1943).
47. Mann, I., "Study of 84 Cases of Delayed Mustard Gas (Dichloroethyl Sulphide) Keratitis Fitted with Contact Lenses", Brit. J. Ophthalmol. 28 441-47 (1944).
48. Atkinson, W.S., "Delayed Keratitis Due to Mustard Gas (Dichlorodiethyl Sul-fide) Burns: 2 Cases", Arch. Ophthalmol. 40 291-301 (1948).
49. Van den Velden, R., "Über Kampfgasvergiftungen", Z. Ges. Exp. Med. 14 1-27 (1921).
50. Spiegelberg, U., "Psychopathologisch-neurologische Spät- und Dauerschäden nach gewerblicher Intoxikation durch Phosphorsäureester (Alkylphosphate)", Proc. Int. Congr. Occup. Health 14th, 1963. Excerpta Med. Found. Int. Congr. Ser. n62, 1778-80.
51. Hellmann, U., "Katamnestische Studien an kampfstoffgeschädigten Personen unter besonderer Berücksichtigung psychiatrischer Spät- und Dauerschäden", Doctoral dissertation, University of Marburg, 1970.
52. Weiss, A., and Weiss, B., "Maligne Geschwülste und Leukämien abnorm häu-fige Todesursache bei ehemaligen Kampfstoffarbeitern. Eine vergieichende Stu-die", Conf Nordwestdeutschen Gesell. Inn. Med., Pap. 84th, 1975 (advance infor-mation).
53. Weiss, A., "Kampfstoffe als carcinogene Substanzen", Conf. Nordwestdeutschen Gesell. Inn. Med. [Proc.], 51st, 1958. Lübeck: Hansisches Verlagskontor H. Scheffler, 1959.
54. Gilman, A., and Philips, Fr.S., "The Biological Actions and Therapeutic Appli-cations of ß-Chloroethyl Amines and Sulfides", Science 103 409-16 (1946).
55. Heston, W.E., "Carcinogenic Action of the Mustards", J. Nat. Cancer Inst. 11 415-23 (1950).
56. Crathom, A.R., and Roberts, J.J., "Mechanism of the Cytotoxic Action of Alkyl-ating Agents in Mammalian Cells and Evidence for the Removal of Alkylated Groups from Deoxyribonucleic Acid", Nature (London) 211 150-53 (1966).
57. Davison, C., Rozman, R.S., and Smith, P.K., "Metabolism of Bis-ß-Chloroethyl Sulfide (Sulfur Mustard Gas)", Biochem. Pharmacol. 7 65-74 (1961).
58. Haddow, A., "On the Biological Alkylating Agents", Perspectives Biol. Med. 16 (4) 503-24 (1973).
59. Lawley, P.D., and Brookes, P., "Molecular Mechanism of the Cytotoxic Action of Difunctional Alkylating Agents and of Resistance to this Action", Nature (London) 206 480-83 (1965).
60. Neilands, J.B., Orians, G.H., Pfeiffer, E.W., Vennemann, A., and Westing, A.H., Harvest of Death. New York: The Free Press, 1972.
61. Nasrat, G.E., "Some Cytological Observations on the Delayed Effect of Mustard Gas", Nature (London) 174 968-69 (1954).
62. Walker, J.G., and Watson, W.J., "The Reaction of Mustard Gas (ß, ß´-Dichlo-roethyl Sulphide) with Purines and Pyrimidines", Can. J. Biochem. Physiol. 39 377 (1961).
63. Dustin, P., "Some New Aspects of Mitotic Poisoning", Nature (London) 159 794-97 (1947).
64. Boyland, E., "Die Wirkung von Strahlen und radiomimetischen Stoffen", En-deavour 11 87-91 (1952).
65. Loveless, A., Cook, J., and Wheatley, P., "Recovery from the 'lethal' Effects of Cross-linking Alkylation", Nature (London) 205 980-83 (1965).
66. Mauro, F., and Elkind, M.M., "Sulfur Mustard and X-Rays; Differences in Ex-pression of Lethal Damage", Science 155 1561-63 (1967).
67. Vogel, F., and Röhrborn, R., eds., Chemical Mutagenesis in Mammals and Man. New York, Berlin and Heidelberg: Springer-Verlag, 1970.
68. Schirren, C., "Impotentia coeundi als Kamptstoffschädigung", Z. Haut- Ge-schlechtshrankh. 34 189-95 (1963).
69. Schirren, C., "Impotenz durch Schädlingsbekämpfungsmittel", Deut. Med. Wochschr. 95 1537 (1970).
70. Druckrey, H., "Chemical Structure and Action in Transplacental Carcinogenesis and Teratogenesis" in Transplacental Carcinogenesis, pp. 45-58. Lyons: Interna-tional Agency for Research on Cancer, 1973.
71. Ochoa, M., Ir., "Alkylating Agents in Clinical Cancer Chemotherapy", Ann. N.Y. Acad. Sci. 163 921-30 (1963).
72. Schmidt, L., and Schennetten, F., "Zur klinischen Toxikologie des Stickstof-flostes", Z. Ges. Inn. Med. Ihre Grenzgebiete 11 477-80 (1956).
73. Conen, P.E., and Lansky, G.S., "Chromosome Damage During Nitrogen Mus-tard Therapy", Brit. Med. J. 529 1055-57 (1961).
74. Beebe, G.W., "Lung Cancer in World War I Veterans; Possible Relation to Mus-tard- Gas Injury and 1918 Influenza Epidemic", J. Nat. Cancer Inst. 25 1231-52 (1960).
75. Case, R.A.M., and Lea, A.J., "Mustard-Gas Poisoning, Chronic Bronchitis and Lung Cancer", Brit. J. Prevent. Social Med. 9 62-72 (1955).
76. Yamada, A., "Studies on Cancer of the Respiratory Tract in Persons Suffering from Occupational Mustard Gas Poisoning", Hirosh. Med. J. 7 719-61 (1959).
77. Yamada, A., "On the Late Injuries Following Occupational Inhalation of Mustard Gas, with Special Reference to Carcinoma of the Respiratory Tract", Acta Pathol. Japon. 13 131-55 (1963).
78. Hueper, W.C., "Occupational and Environmental Cancers of the Respiratory System" in Fortschr. Krebsforsch., Vol. 3 (see especially pp. 103-105). New York, Berlin and Heidelberg: Springer-Verlag, 1966.
79. Wada, S., "Mustard Gas as a Cause of Respiratory Neoplasia in Man", Lancet I (7553) 1161-63 (1968).
80. Bothe, M., Das völkerrechtliche Verbot des Einsatzes chemischer und bakteriologischer Waffen. Cologne and Bonn: Carl Heymanns Verlag KG., 1973.
81. Martinius, J., "Vergiftungen durch versenktes Xylylbromid in der Ostseefischerei", Arch. Toxicol. 17 1-3 (1958).
82. Gal, E.M., Fung, F.H., and Greenberg, D.M., "Studies on the Biological Action of Malononitriles. I. The Effect of Substituted Malononitriles on the Growth of Transplanted Tumors in Mice", Cancer Res. 12 565-72 (1952).
83. Gal, E.M., Fung, F.H., and Greenberg, D.M., "Studies on the Biological Action of Malononitriles. II. Distribution of Rhodanese (Transulfurase) in the Tissues of Normal and Tumor-bearing Animals and the Effect of Malononitriles Thereon", Cancer Res. 12 574-79 (1952).
84. Petrakis, N.L., Bierman, H.R., and Shimkin, M.B., "Substituted Malononitriles in Neoplastic Diseases in Man", Cancer Res. 12 573 (1952).
85. Jones, G.R., and Israel, M.S., "Mechanism of Toxicity of Injected CS-Gas", Nature (London) 228 1315-17 (1970).
86. Rothberg, S., "Skin Sensitization Potential of the Riot Control Agents BBC, DM, CN and CS in Guinea Pigs", Military Med. 135 552-56 (1970).
87. Sartori, M.F., Die Chemie der Kampfstoffe. Braunschweig: Vieweg-Verlag, 1940.
88. Thiess, A.M., Hey, W., and Zeller, H., "Zur Toxikologie von Dichlordime-thyläther-Verdacht auf kanzerogene Wirkung auch beim Menschen ", Zentr. Arbeitsmed. Arbeitsschutz 23 97-102 (1973).
89. Haber, F., Fünf Vorträge. Berlin: Springer-Verlag, 1924.
90. Goldblat, J., "Are Tear Gas and Herbicides Permitted Weapons?", Bull. At. Sci. 26 (4) 13-16 (1970).
91. Balson, P.J., "Damage to Chromosomes by Drugs", Adverse Drug Reaction Bull. No. 37, 116-19 (1972).
92. Bishun, N.P., Williams, D.C., Mills, J., Lloyd, N., Raven, R.W., and Parke, D.V., "Chromosome Damage Induced by Chemicals", Chem.-Biol. Interactions 6 375-92 (1973).
93. Epstdn, S.S., and Lederberg, J., "Chronic Non-Psychiatric Hazards of Drugs of Abuse", Nature (London) 168 507-509 (1970).
94. Gebhart, E., "Chromosomenaberrationen bei chemisch belasteten Personen", Ärztl. Praxis 25 665-66 (1973).
95. Cohen, M.M., Marinello, M.J., and Bach, N., "Chromosomal Damage in Human Leukocytes Induced by Lysergic Acid Diethylamide", Science 155 1417 (1967).
96. Dishotsky, N.J., Loughman, W.D., Mogar, R.E., and Lipscomb, W.R., "LSD and Genetic Damage", Science 172 431-40 (1971).
97. Eberle, P., "Verursachen Halluzinogene Chromosomendefekte und Missbildungen?" Nervenarzt 44 281-84 (1973).
98. Obe, G., and Herha, J., "Genetische Schäden durch LSD?", Fortschr. Med. 91 533-36 (1973).
99. Downing, D.F., "The Chemistry of the Psychotomimetic Substances", Quart. Rev., Chem. Soc. 16 (2) 133-62 (1962).
100. Hofmann, A., "Struktur und Synthese der Halluzinogene", J. Mondial Pharm. 13 187- 205 (1970).
101. Kuemmerle, H.P., and Goosens, N., Klinik und Therapie der Nebenwirkungen, 2nd ed. Stuttgart: Georg Thieme Verlag, 1973.
102. The Effects of Herbicides in South Vietnam, Part A: Summary and Conclusions. Washington: National Academy of Sciences, 1974.
103. Goldstein, N.P., Jones, P.H., and Brown, J.R., "Peripheral Neuropathy after Ex-posure to an Ester of Dichlorophenoxyacetic Acid", J. Am. Med Assoc. 171 1306-309 (1959).
104. Military Biology and Biological Agents, TM 3-216/AFM 355- 6, pp. 74-76. Washington: U.S. Govemment Printing Office, 1964.
105. Ton That Tung, Trinh Kim Anh, Bach Quoc Tuyen, Dao Xuan Tra and Nguyen Van Huyen, "Effets cliniques de l'utilisation massive et continue de défoliants sur la population civile", Report presented at the International Meeting of Scientists on Chemical Warfare in Vietnam held under the auspices of the World Federation of Scientific Workers, Orsay, 12 December 1970.
106. Buu-Hoi, N.P., Hien, D.P., Saint-Ruf, G., and Servoin-Sidoine, J., "Propriétés cancéromimétiques de la tétrachloro-2,3,7,8-dibenzo- -dioxine ('dioxine')", C. R. Acad. Sci., Ser. D., 272 1447-50 (1971).
107. Bauer, H., Schulz, K.H., and Spiegelberg, U., "Berutliche Vergiftungen bei der Herstellung von Chlorphend-Verbindungen", Arch. Gewerbepathol. Gewerbehyg. 18 538-55 (1961).
108. Schulz, K.H., "Klinische und experimentelle Untersuchungen zur Ätiologie der Chlorakne", Arch. Klin. Exp. Dermatol. 206 589-96 (1957).
109. Goldmann, P.J., "Schwerste akute Chlorakne. Eine Massenintoxikation durch 2,3,6,7-Tetrachlordibenzodioxin", Medichem: Int. Symp. Medical Officers in Chemical Industry. [Proc.], 1st, Ludwigshafen, April 1972, pp. 220-27.
110. Lohs, Kh., "Dioxin-ein neuer Kampfstoff der imperialistischen Armeen?", Z. Militarmedizin 14 (6) 318-19 (1973).
111. "News Report", Nat. Acad. Sci. Nat. Res. Counc., Publ. 24 (3/4) 3-11 (1974).
112. Buu-Hoi, N.P., Saint-Ruf, G., Bigot, P., and Mangane, M., "Préparation, pro-priétés et identification de la "dioxine" (tétrachloro-2,3,7,8-dibenzo-r-dioxine) dans les pyrolysates de défoliants a base d'acide trichloro-2,4,5- phenoxyacétique et de ses esters a des végétaux contaminés", C. R. Acad. Sci., Ser. D., 273 708-711 (1971).
113. Sandermann, W., "Polychlorierte aromatische Verbindungen als Umweltgifle", Naturwissenschaften 61 207-13 (1974).
114. "Ambio New Briefs", Ambio 1 (1972).
115. Richardson, B.A., "Sap Stain Control", B.W.P.A. Annual Convention 1972, p. 5 (quoted in ref.[114]).
116. Shaffer, C.B., and West, B., "The Acute and Subacute Toxicity of Technical O, O-Diethyl S-2-Diethylaminoethyl Phosphorothioate Hydrogen Oxalate (Tetram)", Toxicol. Appl. Pharmacol. 2 1-13 (1960).
117. Schrader, G., "Organische Phosphor-Verbindungen als neuartige Insektizide (Auszugr)" Angew. Chem. 62 471-73 (1950).
118. Robinson, J.P., "Binary Weapons-a Mixed Problem", New Scientist 58 (840) 34-35 (1973).
119. Ludewig, R., and Lohs, Kh., Akute Vergiftungen, 4th ed. Jena and Stuttgart: Gustav Fischer Verlag, 1974.
120. Stade, K., Pharmakologie und Kliniksynthetischer Gifte. Berlin: Deutscher Militärverlag, 1964.
121. Klimmer, O.R., Pflanzenschutz- und Schädlingsbekämpfungsmittel, 2nd ed. Hattingen: Hundt-Verlag, 1971.
122. Juul, P., and Spiers, F., "Cholinesterase Inhibitors: Pharmacology, Symptoms of Poisoning, and Treatment. Studies on the Cholinesterase Activities in Glaueoma Patients", Military Med. 132 501-11 (1967).
123. Grob. D., "Anticholinesterase Intoxication in Man and its Treatment" in Handbuch der experimentellen Pharmakologie, Vol. 15: Cholinesterases and AnticholinesteraseAgents, pp. 989-1027, G.B. Koelle, ed. New York, Berlin and Heidelberg: Springer-Verlag, 1963.
124. Aldridge, W.N., Barnes, J.M., and Johnson, M.K., "Studies on Delayed Neurotoxicity Produced by Some Organophosphorus Compounds", Ann. N. Y. Acad. Sci. 160 314-22 (1969).
125. Aldridge, W.N., and Johnson, M.K., "Side Effects of Organophosphorus Compounds: Delayed Neurotoxicity", Bull. W. H. O. 44 259-63 (1971).
126. Aldridge, W.N., and Reiner, E., Enyme Inhibitors as Substrates. Interactions of Esterases with Esters of Organophosphorus and Carbamic Acids. Amsterdam and London: North-Holland Publishing Company, 1972.
127. O'Brien, R.D., Insecticides:Action and Metabolism. New York and London: Academic Press, 1967.
128. Heath, D.F., Organophosphorus Poisons. New York and London: Academic Press, 1961.
129. Hobbiger, F., "Reactivation of Phosphorylated Cholinesterase" in Handbuch der experimentellen Pharmakologie, Vol. 15: Cholinesterases and Anticholinesterase Agents, pp. 921-88, G.B. Koelle, ed. New York, Berlin and Heidelberg: Springer-Verlag, 1963.
130. Benschop, H.P., Keijer, J.H., and Kienhuis, H., "On the Mechanism of Aging of Phosphorylated Cholinesterases", Proc. Conf. Struct. React. DFP-sensitive En-zymes, E. Heilbronn, ed. Stockholm: The National Defence Research Institute, 1967.
131. DNA-Repair Mechanisms, H. Altmann, ed. Symp. Med. Hoechst. Stuttgart and New York: F.K. Schattauer Verlag, 1972.
132. DNA-Repair and Late Effects, H. Altmann, ed. IGEM Symo., Vienna, December 1973. Eisenstadt: Rötzer Druck GmbH, 1974.
133. Tammelin L.E., "Choline Esters, Substrates and Inhibitors of Cholinesterases", Svensk Kern. Tidskr. 70 157-81 (1958).
134. Fredriksson, T., "Studies on the Percutaneous Absorption of Sarin and Two Allied Organophosphorus Cholinesterase Inhibitors", Acta Dermato-Venereol. 38 Suppl. 41, 1-83 (1958).
135. Dauterman, W.C., "Biological and Nonbiological Modifications of Organophosphorus Compounds", Bull. W. H. O. 44 133-50 (1971).
136. Druckrey, H., "Krebs-experimentelle Ursachenforschung und Chemotherapie", Krebsgeschehen 5 (4) 73-90 (1973).
137. Mattusek, N., "Molekulärbiologische Aspekte der Psychiatrie", Muench. Med. Wochschr. 111 2600-606 (1969).
138. Löfroth, G., "Alkylation of DNA by Dichlorvos", Naturwissenschaften 57 393-94 (1970).
139. Dedek, W., and Lohs, Kh., "Zur alkylierenden Wirkung von Trichlorphon in Warmblütern", Z. Naturforsch. 25b (1970).
140. Hollingworth, R.M., "Comparative Metabolism and Selectivity of Organophosphate and Carbamate Insecticides", Bull. W. H. O. 44 155-70 (1971).
141. Johnson, M.K., "A Phosphorylation Site in Brain and the Delayed Neurotoxic Effects of Some Organophosphorus Compounds", Biochem. J. 111 487-95 (1969).
142. Cavanagh, J.B., "Toxic Substances and the Nervous System", Brit. Med. Bull. 25 268- 73 (1969).
143. Ensberg, J.F.G., de Bruin, A., and Zielhuis, R.L., "Health of Workers Exposed to a Cocktail of Pesticides", Intern. Arch. Arbeitsmed. 32 191-201 (1974).
144. Warnick, S.L., and Carter, J.E., "Some Findings in a Study of Workers Occupationally Exposed to Pesticides", Arch. Environ. Health 25 265-70 (1972).
145. Rall, D.P. "Difficulties in Extrapolating the Results of Toxicity Studies in Laboratory Animals to Man", Environ. Res. 2 360-67 (1969).
146. Smith, M.J., Elvove, E., Valaer, P.J., and Mallory, G.E., "Pharmacological and Chemical Studies of the Cause of So-called Ginger Paralysis", Public Health Rept. (U.S.) 45 (30) 1703-16 (1930).
147. Rowntree, D.W., Nevin, S., and Wilson, A., "The Effects of Diisopropylfluorophosphate in Schizophrenia and Manic Depressive Psychosis", J. Neurol. Neurosurg. Psychiat. 13 47-59 (1950).
148. Koelle, G.B., and Gilman, A., "Chronic Toxicity of Di-Isopropyl Fluorophos-phate (DFP) in Dogs, Monkeys and Rats", J. Pharmacol. Exp. Ther. 87 435-48 (1946).
149. Hunt, C.C., and Riker, W.F., Jr., "The Effect of Chronic Poisoning with Di-Isopropyl Fluorophosphate on Neuromuscular Function in the Cat", J. Pharmacol. Exp. Ther. 9l 298-305 (1947). (Quoted in ref. [151]).
150. Barnes, J.M., and Denz, F.A., "The Chronic Toxicity of -Nitrophenyl Diethyl Thiophosphate (E.605)", J. Hyg. 49 (1) 430-41 (1951).
151. Bidstrup, P.L., Bonnell, J.A., and Beckett, A.G., "Paralysis Following Poisoning by a New Organic Phosphorus Insecticide (Mipefox)", Brit. Med. J. I 1068-72 (1953).
152. Gershon, S., and Shaw, F.H., "Psychiatric Sequelae of Chronic Exposure to Organophosphorus Insecticides", Lancet I (7191) 1371-74 (1961).
153. Barnes, J.M., "Psychiatric Sequelae of Chronic Exposure to Organophosphorus Insecticides", Lancet II (7193) 102-103 (1961).
154. Stoller, A., Krupinski, J., Christophers, A.J., and Blanks, G.K., "Organophosphorus Insecticides and Major Mental Illness", Lancet I (7400) 1387-88 (1965).
155. Durham, W.F., Wolfe, H.R., and Quinby, G.E., "Organophosphorus Insecticides and Mental Alertness", Arch. Environ. Health 10 55-56 (1965).
156. Reinl, W., "Über gewerbliche Vergiftungen durch Phosphorverbindungen", Arch. Toxicol. 16 158-81 (1956).
157. Banks, A., and Russell, R.W., "Effects of Chronic Reductions in Acetylcholinesterase Activity on Serial Problem-solving Behavior", J. Comp. Physiol. Psychol. 64 262-67 (1967).
158. Smith, P.W., Stavincha, W.B., and Ryan, L.C., "Cholinesterase Inhibition in Relation to Fitness to Fly", Aerospace Med. 39 754-58 (1968).
159. Dille, J.R., and Smith, P.W., "Central Nervous System Effects of Chronic Exposure to Organophosphate Insecticides", Aerospace Med. 35 475-78 (1964).
160. Namba, T., Nolte, C.T., Jackrel, J., and Grob, D., "Poisoning due to Organo-phosphorus Insecticides. Acute and Chronic Manifestations", Am. J. Med. 50 474-92 (1971).
161. Davignon, L.F., St.-Pierre, J., Charest, G., and Tourangean, F.J., "A Study of the Chronic Effects of Insecticides in Man", Can. Med. Assoc. J. 92 597-602 (1965).
162. Clark, G., "Organophosphate Insecticides and Behavior-a Review", Aerospace Med. 42 (7) 735-40 (1971).
163. Hayes, W.J., Jr., "Tests for Detecting and Measuring Long-term Toxicity" in Essays in Toxicology, Vol. III, pp. 65-77. New York and London: Academic Press, 1972.
164. Hayes, W.J., Jr., "Experiences with the Exposure of Human Subjects to Agricultural Chemicals and a Discussion of the Legal Position of Investigations Using People" in Research in Pesticides, pp. 329-72, C.O. Chichester, ed. New York and London: Academic Press, 1965.
165. Holden, C., "Beagles: Army under Attack for Research at Edgewood", Science 185 (4146) 130-31 (1974).
166. Grob, D., and Harvey, A.M., "Effects and Treatment of Nerve Gas Poisoning", Am. J. Med. 14 52 (1953).
167. Grob, D., "The Manifestations and Treatment due to Nerve Gases and Other Or-ganic Phosphate Anticholinesterase Compounds", Arch. Internal Med. 98 221 (1956).
168. Grob, D., "Manifestations and Treatment of Nerve Gas Poisoning in Man", U.S. Armed Forces Med. J. 7 781 (1956).
169. Grob, D. and Harvey, J.C., "Effects in Man of the Anticholinesterase Compound Sarin", J. Clin. Invest. 37 350-68 (1958).
170. Davies, D.R., Holland, P., and Rumens, M.J., "The Relationship between the Chemical Structure and Neurotoxicity of Alkyl Organophosphorus Compounds", Brit. J. Pharmacol. 15 271-78 (1960).
171. Durham, W.F., Gaines, T.B., and Hayes, W.J., "Paralytic and Related Effects of Certain Organic Phosphorus Compounds", A M.A. Arch. Ind. Health 13 326-30 (1956).
172. "Clinical Aspects of Intoxication by Cholinesterase Inhibitors" in Medical Protection against Chemical Warfare Agents. Stockholm: Almqvist & Wiksell, 1975, Stockholm International Peace Research Institute, forthcoming, Chapter 1.
173. Bowers, M.B., Goodman, E., and Sim, V. M., "Some Behavioral Changes in Man Following Anticholinesterase Administration", J. Nervous Mental Disease 138 383-89 (1964).
174. Sidell, F.R., "Soman and Sarin: Clinical Manifestations and Treatment of Accidental Poisoning by Organophosphates", Clin. Toxicol. 7 (1) 1-17 (1974).
175. Sidell, F.R., and Groff, W.A., "The Reactivatibility of Cholinesterase Inhibited by VX and Sarin in Man", Toxicol Appl. Pharmacol. 27 241-52 (1974).
176. Pasi, A., and Leuzinger, S., "Die Intoxikation durch Alkylphosphate", Schweiz. Z. Militärmedizin 47 127-50 (1970).
177. Maresch, W., "Die Vergiftung durch Phosphorsäureester", Arch. Toxicol. 16 285-319 (1956).
178. v. Lutterotti, A., "Leberschädigung bei Vergiftung mit Insektiziden aus der Reihe der Cholinesterase-Blocker", Med. Welt 46 2430-33 (1961).
179. Domschke, W., and Domagk, G.F., "Enzyminduktion in der Rattenleber durch Soman",Naturvissenschaften 57 39 (1970).
180. Domschke, S., Domschke, W., and Classen, M., "Zum Mechanismus der Leberzellschädigung durch Alkylphosphate", Naturwissenschaften 58 575 (1971).
181. Gibel, W., Lohs, Kh., Wildner, G.P., Zeibarth, D., and Stieglitz R., "Über die kanzerogene, hämatotoxische und hepatotoxische Wirkung pestizider organi-scher Phosphorverbindungen", Arch. Geschwulstforsch. 41 (4) 311-28 (1973).
182. v. Kaulla, K., and Holmes, J.H., "Changes Following Anticholinesterase Exposures: Blood Coagulation Studies", Arch. Environ. Health 2 168-77 (1961).
183. Tabulation of Reports Compiled by the Panel on Hematology of the Registry on Ad-verse Reactions of Drugs. Chicago: American Medical Association, April/May 1965.
184. Reizenstein, P., and Lagerlöf, B., "Aregenerative Anemia with Hypercellular Sideroblastic Marrow", Acta Haematol. 47 1-12 (1972).
185. Teichmann, B., Gibel, W., Schramm, T., and Lohs, Kh., "Präventivmedizinische Empfehlungen beim Umgang mit chemischen Karzinogenen im Hinblick auf Fragen des Arbeitsschutzes", Arch. Geschwulstforsch. 37 (4) 313-26 (1971).
186. Bedford, C.T., and Robinson, J., "The Alkylating Properties of Organophosphates", Xenobiotica 2 (4) 307-37 (1972).
187. Fischer, G.W., and Lohs, Kh., "Zur Einschätzung des Alkylierungspotentials onkologisch bedeutsamer Phosphorsäureester mit Hilfe der NBP-Reaktion", Arch. Geschwulstforsch. 42 (1) 34-40 (1973).
188. Dyer, K.F., and Hanna, P.J., "Has the time Come to Ban Organophosphate Pesticides?", Ecologist 4 (6) 234-36 (1974).
189. Ogi, D., and Yamada, A., "Case Reports on Fetal Deaths and Malformations of Extremities Probably Related to Insecticide Poisoning", J. Jap. Obstet. Gynec. Soc. 17 569 (1965).
190. Adebahr, G., "Veränderungen an der Eizelle des Menschen bei E-605-Vergiftung", Deut. Z. Ges. Gerichtl. Med. 58 248-60 (1966).
191. Dugeloy, G.A., "Labour Examination in Case of Ocular Diseases and Traumas in Agricultural Mechanizers and Persons Having Contact with Poisonous Chemical Substances" (in Russian), Oftal'mol. Zh. 26 (6) 458-60 (1971).
192. Ishikawa, S., Inaba, K., Naito, M., and Ohto, K., "Eye Diseases Induced by Organic Phosphorus Insecticides" (in Japanese), Acta Soc. Ophthalmol. Japon. 77 1835-86 (1973).
193. Snyder, S.H., Banerjee, S.P., Yamamura, H.I., and Greenberg, D., "Drugs, Neurotransmitters, and Schizophrenia", Science 184 1243-53 (1974).